阿摩線上測驗
登入
首頁
>
公職◆資料庫應用
> 100年 - 100年民航外交三等資料庫應用#45548
100年 - 100年民航外交三等資料庫應用#45548
科目:
公職◆資料庫應用 |
年份:
100年 |
選擇題數:
0 |
申論題數:
9
試卷資訊
所屬科目:
公職◆資料庫應用
選擇題 (0)
申論題 (9)
⑴請寫出下列 SQL:針對「特一組」的部門中員工薪水少於 3 萬元者,一律加薪百 分之五。(10 分)
⑵請寫出下列 SQL:建立一個觀點(View)DEPT_STAT,來列出每一部門調查員 人數、及其調查員總薪水,包含「部門編號、部門調查員人數、部門調查員總薪 水」三欄位。(10 分)
⑶請問:假設原來「特一組」部門調查員總薪水為 800,000 元,我們可否直接對上 述的 View DEPT_STAT 更新「特一組」部門調查員總薪水為 1,000,000 元?請說 明為什麼可以或不可以。(10 分)
⑴請證明或反證{ A, B }及{ A, F }是否分別為 R 的候選鍵(Candidate Key)之一? (注意必須以功能相依的推論來說明)(10 分)
⑵ R 是在第幾正規化?請證明之。(10 分)
⑶若 R 分解為 R1, R2。而 R1={ A, B, C, D, E, G }, R2={ A, B, F },請證明此分解是 否為無損連結(Lossless Join)?您必須證明是或不是,請說明證明的每一步驟所 依據的功能相依。(10 分)
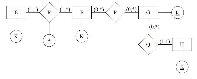
三、假設有下面一個實體關係圖(Entity-Relationship Diagram),圖中鄰近各實體的數 字代表該實體參與的關係之「至少」、「至多」的對應比率次數限制(*代表沒有 限制)。請將其轉為關聯式資料庫的 Schema。請注意將主鍵以底線標示。若某物 件有數種可能的關聯式資料庫 Schema 轉換方式,請分別列出,並說明各方式的優 缺點,以及標註清楚你最後的建議方式。(20 分)
⑴ 請 問 何 謂 關 聯 式 資 料 庫 Schema 的 參 考 完 整 性 限 制 ( Referential Integrity Constraints)?(5 分)
⑵請針對上題(第三題)您最後的建議的關聯式資料庫 Schema,列出所有的參考 完整性限制。(15 分)
相關試卷
115年 - 115 身心障礙特種考試_三等_資訊處理:資料庫應用#138965
115年 · #138965
115年 - 115 關務特種考試_三等_資訊處理(選試英文):資料庫應用#138921
115年 · #138921
114年 - 114 地方政府公務特種考試_三等_資訊處理:資料庫應用#134773
114年 · #134773
114年 - 114 公務升官等考試_薦任_資訊處理:資料庫應用#133256
114年 · #133256
114年 - 114 調查特種考試_三等_資訊科學組:資料庫應用#129582
114年 · #129582
114年 - 114 高等考試_三級_資訊處理:資料庫應用#128766
114年 · #128766
114年 - 114 一般警察特種考試_三等_警察資訊管理人員:資料庫應用#127794
114年 · #127794
114年 - 114 國家安全情報特種考試_三等_資訊組(選試英文):資料庫應用#127703
114年 · #127703
114年 - 114 關務特種考試_三等_資訊處理(選試英文):資料庫應用#126587
114年 · #126587
114年 - 114 身心障礙特種考試_三等_資訊處理:資料庫應用#126586
114年 · #126586