阿摩線上測驗
登入
首頁
>
高考◆大氣物理學
> 100年 - 100年高等三級暨普通考高考三級_氣象#26936
100年 - 100年高等三級暨普通考高考三級_氣象#26936
科目:
高考◆大氣物理學 |
年份:
100年 |
選擇題數:
0 |
申論題數:
9
試卷資訊
所屬科目:
高考◆大氣物理學
選擇題 (0)
申論題 (9)
⑴試估算垂直於平行光束的輻射通量密度(flux density),並與典型垂直於地表的 晴空太陽輻射通量密度值(約 1000 Wm
-2
)比較大小。(6 分)
⑵如果對觀察者而言,晴空直射太陽輻射的立體角是雷射指示筆光束立體角的 25 倍,則雷射指示筆的輻射通量強度(flux intensity,單位:瓦特∕平方米∕球面 度,Wm
-2
per steradian)與太陽的輻射通量強度的大小差異為何?(6 分)
⑴如果有可見光頻段的輻射通過上述雲層,需要經過多少厚度後,輻射強度才會變 成入射輻射強度的e
-1
倍(1/e ≈ 0.367)?(忽略多次散射的效應)(10 分)
⑵如果雲中雲滴的半徑變成都是 5 μm,但是雲中液態水含量(即單位體積的雲滴質 量)不變,則需經過多少厚度後,光程才與上述⑴子題相同?(一樣還是忽略多 次散射的效應)(6 分)
三、實際觀測的氣體分子光譜吸收線並非單頻,而是有限寬度的譜線,試說明吸收譜線 加寬的主要原因有那些?(12 分)
⑴人造衛星上的紅外線與微波輻射儀所觀測到的頻道亮度溫度分別各是絕對溫度多 少度?(12 分)
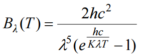
【已刪除】⑵如果實際地表放射率大小的不確定性範圍是 5%左右,那麼以上述頻道亮度溫度做 為地表實際溫度的估計,應該用那一個頻道比較好?但如果在觀測範圍內有雲, 對上述結果又可能有什麼影響?(6 分) 黑體輻射的普朗克(Planck)函數分布為
普朗克常數h = 6.626×10
34
J s,光速c = 2.998×10
8
m s
-1
波茲曼(Boltzmann)常數K = 1.381×10
-23
J K
五、一個雲滴透過凝結成長,在 10 分鐘內從 2 μm成長為 10 μm,在過程中,溫度與氣壓分 別為攝氏 0 度與 800 百帕(hPa),即常態化凝結成長參數(normalized condensation growth parameter)ξ
1
為 68.2 μm
2
s
-1
,試求其環境的過飽和值(在此可忽略曲率與溶 質效應)。(12 分)
六、試畫出科勒曲線(Köhler curve)隨雲滴半徑與飽和比的分布情形,以及其所描述的 方程式形式,並進一步解釋方程式中各項的涵義,最後說明如何運用科勒曲線解釋 雲滴初生成時必須考慮的重要物理過程有那些?(30 分)
相關試卷
112年 - 112 高等考試_三級_氣象:大氣物理學(包括大氣輻射與雲物理)#115665
112年 · #115665
111年 - 111 高等考試_二級_氣象:大氣物理化學#110964
111年 · #110964
111年 - 111 高等考試_三級_氣象:大氣物理學(包括大氣輻射與雲物理)#109787
111年 · #109787
110年 - 110 高等考試_三級_氣象:大氣物理學(包括大氣輻射與雲物理)#102809
110年 · #102809
109年 - 109 高等考試_三級_氣象:大氣物理學(包括大氣輻射與雲物理)#88740
109年 · #88740
108年 - 108 高等三級 大氣物理學(包括大氣輻射與雲物理)#78043
108年 · #78043
107年 - 107 高考三級 大氣物理學(包括大氣輻射與雲物理)#71022
107年 · #71022
106年 - 106年公務人員高等考試三級-大氣物理學(包括大氣輻射與雲物理)#62963
106年 · #62963
104年 - 104年高等三級暨普通考高考三級_氣象- 大氣物理學(包括大氣輻射與雲物理)#23982
104年 · #23982
103年 - 103年高等三級暨普通考高考三級_氣象#24120
103年 · #24120