阿摩線上測驗
登入
首頁
>
技師◆風險危害評估
> 100年 - 100年專門職業及技術人員高等建築師、技師、第2次食品技師暨普通不動產經紀人、記帳士考高等_工業安全技師#27233
100年 - 100年專門職業及技術人員高等建築師、技師、第2次食品技師暨普通不動產經紀人、記帳士考高等_工業安全技師#27233
科目:
技師◆風險危害評估 |
年份:
100年 |
選擇題數:
0 |
申論題數:
7
試卷資訊
所屬科目:
技師◆風險危害評估
選擇題 (0)
申論題 (7)
一、國內“危險性工作場所審查暨檢查辦法"中對製程安全評估小組成員的規定為何? 美國職業安全衛生署(OSHA)之高危害化學製程安全管理法規(Process safety management of highly hazardous chemicals)29CFR1910.119 的規定與臺灣的規定有何 不同?(25 分)
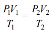
【已刪除】二、半導體機台相對危害等級分析中,於估算某一液態化學品的立即健康危害時,若物 質安全資料表(SDS)上只查到 20℃下的飽和蒸氣壓,利用下式求出該液體於 25℃ 下的飽和蒸氣壓:
上述計算式是否正確?若是,其假設為何?並導出上式。若否,為什麼?應如何估 算?(20 分)
⑴ HAZOP 的英文全名為何?中文名稱為何?(6 分)
⑵ HAZOP 的執行作法有逐管線(Line by Line)、逐容器(Vessel by Vessel)或逐 步驟(Step by Step)來進行研討,這些方式所針對的對象有何不同?(8 分)
⑶寫出兩個與節點劃分有關的注意事項或相關技巧?(10 分)
⑷執行 HAZOP 評估時,若將改善建議寫於防護措施的欄位,於風險控制時可能衍 生出那些不良的影響?(6 分)
四、變更管理(Management of Change)的目的為對變更作把關、管理。依美國職業安 全衛生署(OSHA)的高危害化學製程安全管理法規(Process safety management of highly hazardous chemicals)29CFR1910.119 的規定,當變更的衝擊很小、同時很容 易了解(the impact of the change is minor and well understood)和對於較複雜、明顯 的設計變更(for a more complex or significant design change),其製程危害分析有何 不同?(25 分)
相關試卷
114年 - 114 專技高考_工業安全技師:風險危害評估#133583
114年 · #133583
113年 - 113 專技高考_工業安全技師:風險危害評估#123874
113年 · #123874
112年 - 112 專技高考_工業安全技師:風險危害評估#117550
112年 · #117550
111年 - 111 專技高考_工業安全技師:風險危害評估#111861
111年 · #111861
110年 - 110 專技高考_工業安全技師:風險危害評估#104122
110年 · #104122
109年 - 109 專技高考_工業安全技師:風險危害評估#93279
109年 · #93279
108年 - 108 專技高考_工業安全技師:風險危害評估#80669
108年 · #80669
107年 - 107 專技高考 風險危害評估#72980
107年 · #72980
106年 - 第二次專技高考/風險危害評估#66528
106年 · #66528
104年 - 104年專門職業及技術人員高等建築師、技師、第二次食品技師暨普通不動產經紀人、記帳士考專技高考_工業安全技師#36189
104年 · #36189