阿摩線上測驗
登入
首頁
>
有機化學
> 100年 - 100 地方政府特種考試_四等_化學工程:有機化學概要#41457
100年 - 100 地方政府特種考試_四等_化學工程:有機化學概要#41457
科目:
有機化學 |
年份:
100年 |
選擇題數:
25 |
申論題數:
14
試卷資訊
所屬科目:
有機化學
選擇題 (25)
1 下列反應何者經自由基中間體?
2 下列結構中何者最穩定?
3 下列各化合物中每一個碳的莫耳燃燒熱(△H/n)何者最大?
4 RC≣CH 在紅外線光譜中之特定吸收為:
(A) 1100 cm
-1
, 2000 cm
-1
(B) 2200 cm
-1
, 3300 cm
-1
(C) 3000 cm
-1
, 3500 cm
-1
(D) 2700 cm
-1
, 2800 cm
-1
5 下列化合物屬於那一種萜類?
(A)單萜 (B)倍半萜 (C)雙萜 (D)三萜
6 下列反應何者產物不為醇化合物?
7 形成
CH
2
CH(CN)CH
2
CH(CN) 高分子的單體是:
8 C
4
H
10
O有幾個醚類的同分異構物? (A)1 (B)2 (C)3 (D)4
9 已知(S)-2-丁醇之比旋光(specific rotation)為 +13.52º,現有一(R), (S)-2-丁醇混合物測得其比旋光為 -6.76º。 請問此混合物中相對比例(R)-2-丁醇:(S)-2-丁醇之值為若干? (A) 2:1 (B) 1:2 (C) 3:1 (D) 1:3
10 有關下列結構式之敘述何者正確?
(A)具有 2 個不對稱性碳 (B)具有 3 個不對稱性碳 (C)具有 3 對鏡象異構物(6 個立體異構物) (D)具有 4 對鏡象異構物(8 個立體異構物)
11 二苯丙三酮的結構式為:
12 下列化合物何者為半縮醛(hemiacetal)?
13 下列環狀酮類化合物中,何者最不安定?
14 下列反應試劑中,何者較不適用於將硝基苯還原成苯胺? (A)H
2
, Pt (B)Fe, HCl(aq) (C)LiAlH
4
(D)Sn, HCl(aq)
15 下列化合物中何者具有光學活性?
16 下列各苯胺化合物的共軛酸中,何者的pKa值最小?
17 下列化合物中,何者與LiAlH4反應的主要產物不是正己醇? (A)CH
3
(CH
2
)
4
CO
2
H (B)CH
3
(CH
2
)
4
COCl (C)CH
3
(CH
2
)
4
CONHCH
3
(D)CH
3
(CH
2
)
4
CO
2
CH
3
18 當含
18
O之醇類用於酯化反應時,下列平衡式何者正確?
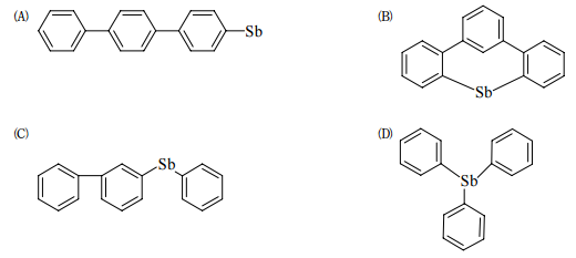
19 三苯銻的結構式為:
20 下列何者為四氫呋喃?
21 下列化合物中何者鹼性最強?
22 下列何者不具芳香族性(aromaticity)?
23 環戊烷有幾個可能的單碘衍生物?(不考慮光學異構物) (A)1 (B)2 (C)3 (D)4
24 下列何者與NaBH
4
反應後會產生一非光學活性的糖?
25 下列諸胺基酸何者為 R 構形(configuration)?
申論題 (14)
【已刪除】 ⑴
【已刪除】 ⑵
【已刪除】 ⑶
【已刪除】 ⑷
【已刪除】 ⑸
【已刪除】 ⑹
【已刪除】 ⑺
【已刪除】 ⑻
【已刪除】 ⑼
【已刪除】 ⑽
二、⑴試寫出萘(Naphthalene)的三個共振式。(6 分)
⑵萘的(C-1)-(C-2)鍵為何比其(C-2)-(C-3)鍵短,試以共振結構說明之。(4 分)
【已刪除】三、將Br
2
加成到 1,3-丁二烯時,反應的選擇性與反應的溫度有關,請闡述其原因。 (10 分)
【已刪除】四、試寫出產物 A, B, C, D, E 的結構式:(10 分)
相關試卷
115年 - 115 關務特種考試_三等_化學工程(選試英文):有機化學#138982
115年 · #138982
115年 - 115 關務特種考試_四等_化學工程(選試英文):有機化學概要#138903
115年 · #138903
114年 - 114 公務升官等考試_薦任_化學工程:有機化學#133257
114年 · #133257
114年 - 114 調查特種考試_三等_化學鑑識組、醫學鑑識組:有機化學#129586
114年 · #129586
114年 - 114 一般警察特種考試_二等_刑事鑑識人員材料及化學物品鑑析組:有機化學#127790
114年 · #127790
114年 - 114 關務特種考試_三等_化學工程(選試英文):有機化學#126661
114年 · #126661
114年 - 114 關務特種考試_四等_化學工程(選試英文):有機化學概要#126655
114年 · #126655
113年 - 113 調查特種考試_三等_化學鑑識組、醫學鑑識組:有機化學#122084
113年 · #122084
113年 - 113 關務特種考試_三等_化學工程(選試英文):有機化學#119488
113年 · #119488
113年 - 113 關務特種考試_四等_化學工程(選試英文)、化學工程(選試日文):有機化學概要#119484
113年 · #119484