阿摩線上測驗
登入
首頁
>
有機化學
> 100年 - 100 普通考試_化學工程:有機化學概要#43800
100年 - 100 普通考試_化學工程:有機化學概要#43800
科目:
有機化學 |
年份:
100年 |
選擇題數:
25 |
申論題數:
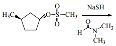
16
試卷資訊
所屬科目:
有機化學
選擇題 (25)
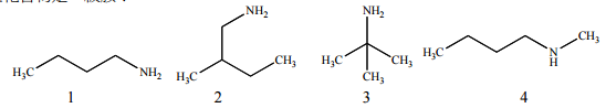
1 下列那些化合物是一級胺?
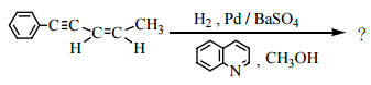
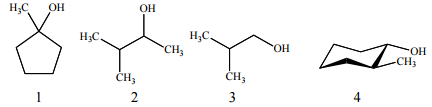
(A) 1, 2, 4 (B) 1, 3, 4 (C) 1, 2, 3 (D) 1, 2, 3, 4
2 下列分子中畫有底線的氫是每個分子中酸性最強的氫原子,請依弱酸至強酸順序排列下列氫原子的強度:
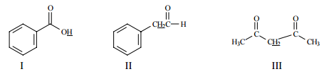
(A) III, II, I (B) II, III, I (C) I, II, III (D) II, I, III
3 下列四種羧酸衍生物進行親核性醯基取代反應的反應性為何?請由強至弱排出:
(A) I, II, III, IV (B) I, III, IV, II (C) II, IV, III, I (D) II, I, III, IV
4
請由低至高排列上面化合物進行親電性芳香取代反應(electrophilic aromatic substitution)的反應性: (A) IV, I, II, III (B) III, II, I, IV (C) II, III, I, IV (D) IV, III, II, I
5 下列那個選項的反應條件適用於下列反應的轉換?
(A) 1.過錳酸鉀 2.鋁氫化鋰 (B) 1.鎂,乙醚 2.二氧化碳 3.鋁氫化鋰 (C) 1.氫氧化鈉,水 2.鋁氫化鋰 (D) 1.亞硫醯氯,苯 2.氫氧化鈉代
6 下列有機反應的主要產物為何?
(A) 2,3-二甲基庚-3-醇(2,3-dimethylheptan-3-ol) (B) 2,4-二甲基庚-4-醇(2,4-dimethylheptan-4-ol) (C) 3,5-二甲基庚-4-醇(3,5-dimethylheptan-4-ol) (D) 3,5-二甲基庚-3-醇(3,5-dimethylheptan-3-ol)
7 利用亞硫醯氯(SOCl
2
)將醇類轉換成鹵烷的反應是經由那一種反應過程? (A) E1 反應過程 (B)S
N
1 反應過程 (C)E2 反應過程 (D)S
N
2 反應過程
8 下列何者不會與重鉻酸鈉(Na2Cr2O7)或氯鉻酸吡啶鹽(PCC, pyridinium chlorochromate)反應?
(A)只有 1 (B)只有 3 (C)只有 2 和 4 (D) 1, 2, 3 和 4
9 進行下列反應那一個選項是最好的試劑選擇?
(A)三氧化鉻,水合氫離子(H
3
O
+
),丙酮 (B)氫硼化鈉,水合氫離子(H
3
O
+
) (C)氯鉻酸吡啶鹽(pyridinium chlorochromate),二氯甲烷 (D)鋁氫化鋰,水合氫離子(H
3
O
+
)
10 核磁共振光譜學提供了有關分子的資訊,何者正確? (A) 共軛 π 電子系統(conjugated pi electron system) (B)分子大小及分子式(molecular size and formula) (C)碳-氫骨架(carbon-hydrogen framework) (D)官能基(functional groups)
11 右圖的雜環分子有幾個 π 電子?
(A)2 (B)4 (C)6 (D)8 O
12 右列反應的產物為何?
(A) 只有順式 1,2-二溴環己烷(cis-1,2-dibromocyclohexane) (B)只有反式 1,2-二溴環己烷(trans-1,2-dibromocyclohexane) (C)含有 1:1 比率的順式及反式 1,2-二溴環己烷混合物 (D)反式 1,2-二溴環己烷大於 50 %的混合物
13 下列有關有機化學中「氫的轉移(Hydride shifts)」重排的解釋,何者正確? (A) 發生於形成較少取代的碳陽離子 (B)藉由相鄰碳原子之間的質子轉移而發生 (C)只有在單步反應觀察得到 (D)正電荷轉移到一個更高取代的碳原子
14 下列有機氯化物在CH
3
OH溶液中,何者最易進行S
N
1 取代反應?
15 下列化合物何者為合成壓克力樹脂[poly(methyl-α-methacrylate), PMMA]的單體原料?
16 天然蛋白質分子鏈間可形成穩定態雙硫鍵鍵結(disulfide linkage)的胺基酸為: (A)甲硫胺酸(Met) (B)離胺酸(Lys) (C)精胺酸(Arg) (D)半胱胺酸(Cys)
17 右圖化合物的立體異構物性質屬於:
(A) 內消旋化合物(meso compound) (B)具光學活性(optical active) (C)外消旋混合物(racemic mixture) (D)有一個對應的鏡像異構物(enantiomer)
18 下列何者為第二丁基(sec-butyl)化學結構式?
19 右列反應之主要產物為何?
20 下列那一個反應的主要產物是醛類化合物?
21 下列何者的氫核磁共振光譜(1H NMR)的化學位移在δ9.7 處有吸收峰?(A) CH
3
CH
2
CH
2
OH (B)CH
3
CH
2
CHO (C)CH
3
CH
2
COOH (D)CH
3
CH
2
COOCH
3
22 下列化合物的酮-烯醇型互換(keto-enol tautomerism)平衡中,何者最有利烯醇型結構?
23 右列反應之主要產物為何?
24 右列反應之最終主要產物為何?
25 化合物
的質譜圖中,其最大吸收峰之基峰(base peak)的 m/e 值應為: (A) 43 (B) 77 (C) 91 (D) 134
申論題 (16)
【已刪除】 ⑴
【已刪除】 ⑵
【已刪除】 ⑶
【已刪除】 ⑷
【已刪除】 ⑸
【已刪除】 ⑴下列那些化合物經過氫氣與金屬催化劑的氫化作用後會生成丙烷?
【已刪除】 ⑵如何利用低解析質譜區分下列化合物(N=14.0,Cl=35.5,Br=79.9)?
⑶鄰苯二甲酸二丁酯(DBP)可溶解於有機溶劑,是常用的塑化劑。如何由鄰二甲 苯與 1-丁醇為原料製備 DBP?請詳述其過程。
⑷苯酚與 2,4,6-三硝基苯酚,何者酸性較強?並請說明原因。
⑸何謂「芳香性(aromaticity)」?並舉出三類具有芳香性的分子。
三、甲基三級丁基醚(methyl tert-butyl ether)是作為提高汽油辛烷值的添加物。一般 製備方法是以甲醇和異丁烯為原料,在酸性催化劑作用下而得到,請寫出此反應的 機制,並說明此製程可能產生的副產物。(5 分)
AA
BB
CC
DD
EE
相關試卷
115年 - 115 關務特種考試_三等_化學工程(選試英文):有機化學#138982
115年 · #138982
115年 - 115 關務特種考試_四等_化學工程(選試英文):有機化學概要#138903
115年 · #138903
114年 - 114 公務升官等考試_薦任_化學工程:有機化學#133257
114年 · #133257
114年 - 114 調查特種考試_三等_化學鑑識組、醫學鑑識組:有機化學#129586
114年 · #129586
114年 - 114 一般警察特種考試_二等_刑事鑑識人員材料及化學物品鑑析組:有機化學#127790
114年 · #127790
114年 - 114 關務特種考試_三等_化學工程(選試英文):有機化學#126661
114年 · #126661
114年 - 114 關務特種考試_四等_化學工程(選試英文):有機化學概要#126655
114年 · #126655
113年 - 113 調查特種考試_三等_化學鑑識組、醫學鑑識組:有機化學#122084
113年 · #122084
113年 - 113 關務特種考試_三等_化學工程(選試英文):有機化學#119488
113年 · #119488
113年 - 113 關務特種考試_四等_化學工程(選試英文)、化學工程(選試日文):有機化學概要#119484
113年 · #119484