阿摩線上測驗
登入
首頁
>
結構學概要與鋼筋混擬土學概要
> 100年 - 100 鐵路特種考試_員級_土木工程:結構學概要與鋼筋混凝土學概要#33928
100年 - 100 鐵路特種考試_員級_土木工程:結構學概要與鋼筋混凝土學概要#33928
科目:
結構學概要與鋼筋混擬土學概要 |
年份:
100年 |
選擇題數:
0 |
申論題數:
4
試卷資訊
所屬科目:
結構學概要與鋼筋混擬土學概要
選擇題 (0)
申論題 (4)
【已刪除】一、如圖所示,在已知荷載條件下。試求此梁之剪力圖及彎矩圖。(25 分)
【已刪除】二、如圖所示桁架,在已知荷載條件下。試求此桁架之支承反力及桿件 a 及 b 之受力大小? (25 分)
【已刪除】三、有一矩形斷面之雙筋梁,梁寬 30 cm,梁深 60 cm,壓力側鋼筋為 2-D25,拉力側鋼筋 為 6-D25,採雙排排列。已知常重混凝土f′c=280 kgf/cm
2
,鋼筋 f y =4,200 kgf/cm2 ,且 鋼筋保護層及上下層間距均依規範最小值之規定。試依規範規定檢核是否符合鋼筋 之要求,並求該斷面所能提供之設計彎矩φ M
n
為何?(25 分) 參考資料: 本試題原則上依「土木 401-96」(ACI 318-05)規範規定作答,若採用其他規範版本 作答,請務必「註明」所依據之版本。 鋼筋D10:d
b
=9.53 mm,a
b
=0.713 cm
2
,f
y
=2,800 kgf/cm
2
。 鋼筋D25:d
b
=25.4 mm,a
b
=5.067 cm
2
,f
y
=4,200 kgf/cm
2
。
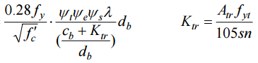
【已刪除】四、柱 斷 面 及 鋼 筋 搭 接 狀 況 如 圖 所 示 , 已 知 常 重 混 凝 土 f′c=280 kgf/cm
2
,鋼筋 fy=4,200 kgf/cm
2
,且鋼筋保護層均依規範最小值之規定。試依詳細計算公式計算柱 主筋之受拉搭接長度。(25 分) 參考資料:
相關試卷
115年 - 115 身心障礙特種考試_四等_土木工程:結構學與鋼筋混凝土學概要#138950
115年 · #138950
114年 - 114 地方政府公務、離島地區公務特種考試_四等_土木工程:結構學與鋼筋混凝土學概要#134785
114年 · #134785
114年 - 114 原住民族特種考試_三等_土木工程:結構學與鋼筋混凝土學#130980
114年 · #130980
114年 - 114 原住民族特種考試_四等_土木工程:結構學與鋼筋混凝土學概要#130949
114年 · #130949
114年 - 114 普通考試_土木工程:結構學與鋼筋混凝土學概要#128751
114年 · #128751
114年 - 114 身心障礙特種考試_四等_土木工程:結構學與鋼筋混凝土學概要#126635
114年 · #126635
113年 - 113-2 國營臺灣鐵路股份有限公司_從業人員甄試試題_第10階-助理技術員-土木工程:結構學概要與鋼筋混凝土學大意#137204
113年 · #137204
113年 - 113 國營臺灣鐵路股份有限公司_從業人員甄試_第 10 階-助理技術員-土木工程:結構學概要與鋼筋混凝土學大意#137172
113年 · #137172
113年 - 113 地方政府公務、離島地區公務特種考試_四等_土木工程:結構學與鋼筋混凝土學概要#124558
113年 · #124558
113年 - 113 地方政府公務、離島地區公務特種考試_四等_土木工程:結構學與鋼筋混凝土學概要#124322
113年 · #124322