阿摩線上測驗
登入
首頁
>
有機化學
> 100年 - 100 關務特種考試_三等_化學工程:有機化學#42355
100年 - 100 關務特種考試_三等_化學工程:有機化學#42355
科目:
有機化學 |
年份:
100年 |
選擇題數:
0 |
申論題數:
16
試卷資訊
所屬科目:
有機化學
選擇題 (0)
申論題 (16)
【已刪除】 ⑴
【已刪除】 ⑵
【已刪除】 ⑶
【已刪除】 ⑷
【已刪除】 ⑸
【已刪除】 ⑹
【已刪除】 ⑺
【已刪除】 ⑴
【已刪除】 ⑵
【已刪除】 ⑶
【已刪除】三、請寫出下列反應流程圖中主要產物(A)至(E)的結構式。(15 分)
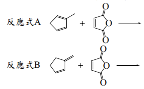
【已刪除】四、反應式 A 和反應式 B 何者較易進行狄-阿反應(Diels-Alder reaction)?並說明反 應性差異的理由。(10 分)
【已刪除】五、下列分子有二個氮原子(N1 和 N3),那一個氮原子的鹼性比較強?並說明理由。 (9 分)
【已刪除】六、在氫核磁共振譜(
1
H NMR spectrum)中,下列化合物的化學位移值如圖所示: H(A) δ 2、H(B) δ -1,試說明為何H(B)的化學位移值比較小。(10 分)
【已刪除】七、請由反應機構說明下列反應式 A 和反應式 B 的反應產物結果。(10 分)
【已刪除】八、酮類化合物與有機鋰試劑(organolithium reagent)反應可轉換為醇類(如反應式 A), 但腈類化合物與有機鋰試劑反應則獲得酮類產物(如反應式 B),不會再繼續反應 為醇類化合物,試以反應機構說明理由。(10 分)
相關試卷
115年 - 115 關務特種考試_三等_化學工程(選試英文):有機化學#138982
115年 · #138982
115年 - 115 關務特種考試_四等_化學工程(選試英文):有機化學概要#138903
115年 · #138903
114年 - 114 公務升官等考試_薦任_化學工程:有機化學#133257
114年 · #133257
114年 - 114 調查特種考試_三等_化學鑑識組、醫學鑑識組:有機化學#129586
114年 · #129586
114年 - 114 一般警察特種考試_二等_刑事鑑識人員材料及化學物品鑑析組:有機化學#127790
114年 · #127790
114年 - 114 關務特種考試_三等_化學工程(選試英文):有機化學#126661
114年 · #126661
114年 - 114 關務特種考試_四等_化學工程(選試英文):有機化學概要#126655
114年 · #126655
113年 - 113 調查特種考試_三等_化學鑑識組、醫學鑑識組:有機化學#122084
113年 · #122084
113年 - 113 關務特種考試_三等_化學工程(選試英文):有機化學#119488
113年 · #119488
113年 - 113 關務特種考試_四等_化學工程(選試英文)、化學工程(選試日文):有機化學概要#119484
113年 · #119484