阿摩線上測驗
登入
首頁
>
電機機械
> 101年 - 101年地方考三等_電力工程#26447
101年 - 101年地方考三等_電力工程#26447
科目:
電機機械 |
年份:
101年 |
選擇題數:
0 |
申論題數:
5
試卷資訊
所屬科目:
電機機械
選擇題 (0)
申論題 (5)
【已刪除】一、如圖一所示磁路,其鐵心截面積 24 A
c
=
9×10
− 4
m ,氣隙長度g = 5×10
−4
m ,鐵心,平 均周長lc = 30×10
−2
m,而 N 為 250 匝,鐵心材料之相對導磁係數μ
r
為 5000,氣隙 空氣之導磁係數
。假設鐵心內之磁通量密度為均勻分 布,其值為
,氣隙磁場之邊緣效應(fringing effect)及磁飽和可忽略,試 求此時該電路之電流 I 及其磁鏈(flux linkage)。(20 分)
【已刪除】二、如圖二(甲)所示之 60Hz,7960V:2400V:600V之三繞組變壓器,假設其激磁阻 抗、繞組電阻及磁飽和均可忽略不計,則可以圖二(乙)之等效電路表示之,其中 T
1
、T
2
為理想變壓器 N
1
/N
2
=7960/2400 , N1/N31 = 7960 /600;今欲量測該等效電路 參照至 7960V側繞組之電抗 x
1
, x
2
及 x
3
,進行下列三個短路實測:
假設三個繞組之kVA基底(base)均選為 1000kVA,而V
1
,V
2
,V
3
側之電壓基底依 序為 7960V,2400V及 600V,試利用上述實測數據計算圖二(乙)中之 x
1
, x
2
及 x
3
電抗之標么值(per unit value)。(20 分)
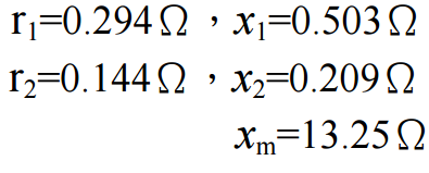
【已刪除】三、如圖三所示電路為一台三相 Y 接 220V,10hp,60Hz,6 極之感應電動機之正序弦 波穩態單相等效電路;假設其鐵心、摩擦、風阻等耗損及磁飽和均可忽略,試求該 電動機產生最大轉矩及最大輸出功率時之滑差分別各為多少?(20 分)
四、有一台額定 4.5kW,125V,1150rpm之它激式(separately excited)直流發電機,已 知其電樞電阻為 0.37Ω,且當其激磁電流為 2A,轉速為 1150rpm,由其無載飽和曲 線得知其電樞感應電動勢為 126V。今若維持激磁電流不變,調整原動機出力,使 其轉速降為 1000rpm,並量得此時負載電流恰等於其額定值,試求該發電機此時之 端電壓V
t
,假設電樞反應及碳刷電阻均可忽略。(20 分)
【已刪除】五、有一部凸極同步發電機,其直軸電抗Xd與交軸電抗Xg標么值依序為 1.00pμ及 0.60pμ ,而其電樞電阻則可以忽略之。已知該發電機供電於一電容性負載時之端電壓,視 在功率及功因依序為 1.0pμ,0.99pμ及 0.94 領前(leading),試求該發電機在此條 件下之電樞感應電動勢
之標么值大小。(20 分)
相關試卷
115年 - 115 關務特種考試_三等_電機工程(選試英文):電機機械#138915
115年 · #138915
114年 - 114 台灣自來水股份有限公司_評價職位人員甄試試題_技術士操作類-甲(機電)、技術士操作類-甲(限具中級以上電氣技術人員資格報考)、技術士操作類-甲(機電)(限原住民族報考):電機(工)機械#139521
114年 · #139521
114年 - 114 地方政府公務特種考試_三等_電力工程:電機機械#134760
114年 · #134760
114年 - 114 專技高考_電機工程技師:電機機械#133717
114年 · #133717
114年 - 114 關務升官等考試、交通事業郵政升資考試_薦任、員級晉高員級_電力工程、技術類(選試電機機械)—關務、郵政:電機機械#133262
114年 · #133262
114年 - 114 交通事業郵政升資考試_佐級晉員級_技術類(選試電機機械概要)—郵政:電機機械概要#133211
114年 · #133211
114年 - 114 高等考試_二級_電力工程:電機機械#131612
114年 · #131612
114年 - 114 高等考試_三級_電力工程:電機機械#128777
114年 · #128777
114年 - 114 關務特種考試_三等_電機工程(選試英文):電機機械#126668
114年 · #126668
113年 - 113-2 國營臺灣鐵路股份有限公司_從業人員甄試_第8階-助理工程師-機械 第8階-助理工程師-電機:電機機械#137140
113年 · #137140