所屬科目:交大◆電機◆微分方程與線性代數
(b) (3%) Let A and B be m x n matrices. If Ax = Bx for all x , then A and B are equal.
(c) (3%) Let A be an n X n matrix. If A is invertible, then any subset of formed by the columns vectors of A is linearly independent.
(d) (3%) Let S = be a subset of and T : be a linear transfor- mation. When is linear independent, S is not necessarily linearly independent.
4. (a) (8%) For the following matrix, find the bases for its row space and nullspace.
(a)
(b)
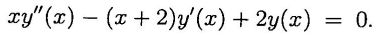
6. (10%) Consider the following second order ordinary differential equation:Determine the solution y(x) satisfying the conditions y"(0) = 1 and y""(0) = 0.
8. (15%) Let x(t) be a length-3 vector of functions in t that satisfies the following system of linear differential equations:Find the solution x(t).