所屬科目:教甄◆化學專業/化工科
(5) 95 年學測:若化合物莫耳數相同 (A)(B)(C)C4H9CHO(D)C4H9COOH 則生化需氧量(BOD)最大者為 A(或 B) ,請說明為什麼答案有 2 個?
(A)水加入真空容器中
(B)通入 中
(C)通入中
(D)通入 中
(E)通入 中
(1) 的濃度=________ M
(3) 由上述②和③的結果,說明此水樣品有何性質?
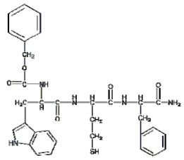
(2) 肽鍵為 2 個胺基酸縮合掉 1 個水分子而得(下左圖);下右圖可視為是一個四肽,可看作 是 4 個胺基酸縮合掉 3 個水分子而得。 今有一個“多 肽”,其分子式是,已知將它徹底水解後只得到下列四種胺基酸 (對應之結構式在下方): 問:①這個“多肽”是幾肽? ②該多肽水解後,有幾個穀胺酸(麩胺酸)?③該多肽水解後,有幾個苯丙胺酸?:
(1) 在含有濃度為 0.030ppm 的污水樣品 1.0 升中,需加入若干克的離子才能使濃度減為 0.010ppm?
(2) 當我們欲從分別含有,Ag+ ,Li+ 離子的三種溶液中選用一種陽離子以除去 1.0 升污水樣品中的 ,若分別加入 ,Ag+ ,Li+ 離子後,直到該陽離子濃度為 時,那一種陽離子可以除去最多的 ?
(4) 若 A 溶液與 B 溶液之實驗數據如下表,則由實驗數據顯示,此反應速率 R 與 KIO3 濃度的關係為何?對 KIO3 是幾級反應?
8. 1%之下列各水溶液:(甲)乙醇 (乙)蔗糖 (丙)尿素(CO(NH2)2) (丁) NaCl (戊)甘油 (C3H5(OH)3) (己) CaCl2,其①沸點高低順序②凝固點高低順序 ③同溫時之蒸氣壓高低順 序各為何?(Ca = 40,Na = 23,Cl = 35.5)[6 分]
9.附可上下移動的活塞容器內先裝液態 CS2 及飽和的空氣於 一大氣壓.7℃時的狀態如圖所示,壓力維持 1 atm 不變,增高 溫度至 27℃活塞的高度可昇至容器的哪一個刻度(取近似值) ?[4 分] [但 CS2 的飽和蒸氣壓力在 7℃時為 180 mmHg,27℃時為 400 mmHg,混合氣體視為理想氣體。又由於膨脹或蒸發所引起的液 面升降及活塞的重量及摩擦力均可忽略不計,不考慮空氣之溶解度]
(2)沸點:KCl、NF3、CF4、N2、Ne、C2H5OH、SiO2
(5)鍵角:NH3、BF3、H2O、SF6、、O3、OF2、CH4
(1)之晶格能=? [6 分]