阿摩線上測驗
登入
首頁
>
國營事業◆1.飛機結構學 2.複合材料力學
> 101年 - 101 經濟部所屬事業機構_新進職員甄試_航空結構:1.飛機結構學 2.複合材料力學#28524
101年 - 101 經濟部所屬事業機構_新進職員甄試_航空結構:1.飛機結構學 2.複合材料力學#28524
科目:
國營事業◆1.飛機結構學 2.複合材料力學 |
年份:
101年 |
選擇題數:
0 |
申論題數:
22
試卷資訊
所屬科目:
國營事業◆1.飛機結構學 2.複合材料力學
選擇題 (0)
申論題 (22)
(一)說明飛機結構設計之限制負載(LimitLoad)與極限負載(UltimateLoad)的定義?(3分)
(二)上述負載作用下飛機結構強度須分別滿足何種條件?(2分)
(一)勁度(Stiffness)
(二)主應力(Principal Stress)
(三)剪力中心(Shear Center)
(四)安全裕度(Margin of Safety)
(五)半硬殼式結構(Semimonocoque Structures)
(一)腹板的斜張力(Diagonal Tension)現象?
(二)斜張力(σ
wt
)與Q、h及t (腹板厚度)的關係為 何?
四、試簡述虛擬連接裝配(Virtual Mock-up)技術有哪些效益?( 5分)
(一)蒙皮①、②及③的剪力流(shear flow) ? (10 分)
(二)繪製加勁條AB及CD的受力分佈圖 ,包括垂直及平行於加勁條的力? (5分)
(一)每根鉚釘的剪力Pi為何?(11分)
【已刪除】(二)每根鉚釘的安全裕度(Margin of safety; M.S.=
)為何?(4分)(計算至小數點第 2位,以下四捨五入)
(一)碳纖維複合材料(CFRP)
(二)預浸料(Prepreg)
(三)正交疊層板(Cross-Ply Laminate)
(四)樹脂含量(Resin Content)
(五)二次膠合(Secondary Bonding)
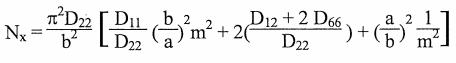
【已刪除】八、【圖4】為四邊簡支撐正交(Cross-Ply)疊層矩形平板,在長邊方向承受轴向力作用之挫曲 強度(Nx)方程式如下:
請依據下列已知參數,計算轴向挫曲強度?(10分) 已知參數:平板長度a = 326.56 mm,平板寬度b = 163.28 mm,π = 3.14 (近似值)。 剛度系數 D
11
= 54,080N-mm,T)D
22
= 27,040N-mm ’ D
12
= 4,900N-mm,D
66
= 4,310N-mm。 (提示:半波數m必須為整數)
【已刪除】九、四邊簡支撐疊層矩形平板(LaminatePlate)其設計承受以下負載: N
x
= 7,000 lb/in,N
y
= 0 lb/in,N
xy
= 4,500 lb/in,(負載參數定義如下【圖 5】說明) 並且需滿足以下剛度需求:
GT = 6.0x10
5
lb/in,ET= 1.5x10
6
lb/in,其中 T 是疊層板(總)厚度。
請依據下列已知參數,計算可滿足上述條件之疊層板厚度(層數)及疊序安排? (15分) 已知參數:(強度、剛度參數定義如上【圖6】所示)
【已刪除】十、【圖7】左半部分為五種不同複合材料膠合結構之強度對應厚度曲線圖(曲線1〜5),右半 部分為可能對應之膠合結構構型,請找出正確的強度曲線對應之膠合構型? (每小題2分,共10分)
相關試卷
102年 - 102 經濟部所屬事業機構_新進職員甄試_航空結構:1.飛機結構學 2.複合材料力學#28343
102年 · #28343