阿摩線上測驗
登入
首頁
>
有機化學
> 101年 - 101 身心障礙特種考試_四等_化學工程:有機化學概要#42195
101年 - 101 身心障礙特種考試_四等_化學工程:有機化學概要#42195
科目:
有機化學 |
年份:
101年 |
選擇題數:
25 |
申論題數:
14
試卷資訊
所屬科目:
有機化學
選擇題 (25)
1 下列那一項是反-1-乙基-3-甲基環己烷(trans-1-ethyl-3-methylcyclohexane)最穩定的構形?
2 C6H14有幾個結構異構物? (A)3 (B)4 (C)5 (D)8
3 下列那一組分子不互為共振結構?
4 右列反應的主要產物為何?
5 右列反應的主要產物為何?
6 下列何者有鏡像異構物(enantiomer)? (A) 1,2-戊二烯(1,2-pentadiene) (B) 1,3-戊二烯(1,3-pentadiene) (C) 1,4-戊二烯(1,4-pentadiene) (D) 2,3-戊二烯(2,3-pentadiene)
7 異丙醚在空氣中儲存過久會自動產生氧化反應,在蒸餾濃縮時常會發生爆炸,此自動氧化反應產生了: (A) (CH
3
O)
2
CHOCH(OCH
3
)
2
(B) (CH
3
O)
2
CHOCH(CH
3
)
2
(C) (HOCH
2
)
2
CHOCH(CH
2
OH)
2
(D) (CH
3
)
2
CHO-OCH(CH
3
)
2
8 右列反應的主要產物為何?
9 下列化合物在氫去偶合的碳核磁共振譜(proton-decoupled 13C NMR spectrum)有多少支訊號?
(A)4 (B)7 (C) 10 (D) 12
10 下列何者進行親電性取代反應(electrophilic substitution reaction)時反應速率最快?
11 下列何者不是芳香族化合物?
12 戴奧辛[2,3,6,7-tetrachlorodibenzodioxin (TCDD)]的分子結構為:
13 下列那一個化合物進行羰基的加成反應活性最高?
14 酮類化合物轉換為酯類化合物,常使用的人名反應為: (A)沃-奇(Wolff-Kishner)反應 (B)戴-馬(Dess-Martin)反應 (C)拜-韋(Baeyer-Villiger)反應 (D)赫-華-季(Hell-Volhard-Zelinsky)反應
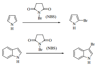
15 完成右列反應最適當的試劑為:
(A)溴,四氯化碳 (B)溴化氫,水 (C)溴,醋酸 (D) N-溴琥珀醯亞胺(NBS)
16 右列反應可得到何種產物?
17 右列反應的主要產物為何?
18 下列何者使用鋁氫化鋰(LAH)進行還原反應,不能形成一級胺產物? (A)C
6
H
5
-CH=N-OH (B)C
6
H
5
-CH=N-CH
3
(C)C
6
H
5
-CH
2
-CO-NH
2
(D)C
6
H
5
-CH
2
-N
3
19 下列那一個試劑可簡易區別甲胺(CH
3
NH
2
)和二甲胺((CH
3
)
2
NH)? (A)C
6
H
5
SO
2
Cl和CH
3
COOH水溶液 (B)C
6
H
5
SO
2
Cl和HCl水溶液 (C)C
6
H
5
SO
2
Cl和KOH水溶液 (D)C
6
H
5
SO
2
Cl和AgNO
3
水溶液
20 下列何者pK
a
最大? (A)C
6
H
5
NH
2
(B) 4-CH
3
C
6
H
4
NH
2
(C) 4-NO
2
C
6
H
4
NH
2
(D)C
6
H
5
CH
2
NH
2
21 右列反應中,主要產物分子為:
22 下列何者不為還原糖(reducing sugar),即不與本尼狄克試劑(Benedict’s reagent)反應生成沈澱物? (A)麥芽糖(maltose) (B)蔗糖(sucrose) (C)果糖(fructose) (D)乳糖(lactose)
23 下列化合物,何者不具有芳香族特性(aromaticity)?
24 市面上的寶特瓶的材料大都為聚合物 PET,其英文字母 T 代表的是下列那一個結構?
25 下列那一個化合物在紅外線光譜中羰基(C=O)的伸縮(stretching)振動頻率最高?
申論題 (14)
【已刪除】 ⑴
【已刪除】 ⑵
【已刪除】 ⑶
【已刪除】 ⑷
【已刪除】 ⑸
二、丙二酸(malonic acid)及丁二酸(succinic acid)的第一解離酸度大小順序為何? (2 分)試解釋之。(3 分)
三、用自由基起始的乙烯聚合常造成聚合物碳鏈的分岔,以反應機構圖示此一現象如何 發生?(5 分)
【已刪除】四、請提出合理反應機構解釋下列兩個反應的位置選擇性。(10 分)
A
B
C
D
E
【已刪除】六、下列那一個反應的反應速率比較快?(3 分)並說明理由。(7 分)
相關試卷
115年 - 115 關務特種考試_三等_化學工程(選試英文):有機化學#138982
115年 · #138982
115年 - 115 關務特種考試_四等_化學工程(選試英文):有機化學概要#138903
115年 · #138903
114年 - 114 公務升官等考試_薦任_化學工程:有機化學#133257
114年 · #133257
114年 - 114 調查特種考試_三等_化學鑑識組、醫學鑑識組:有機化學#129586
114年 · #129586
114年 - 114 一般警察特種考試_二等_刑事鑑識人員材料及化學物品鑑析組:有機化學#127790
114年 · #127790
114年 - 114 關務特種考試_三等_化學工程(選試英文):有機化學#126661
114年 · #126661
114年 - 114 關務特種考試_四等_化學工程(選試英文):有機化學概要#126655
114年 · #126655
113年 - 113 調查特種考試_三等_化學鑑識組、醫學鑑識組:有機化學#122084
113年 · #122084
113年 - 113 關務特種考試_三等_化學工程(選試英文):有機化學#119488
113年 · #119488
113年 - 113 關務特種考試_四等_化學工程(選試英文)、化學工程(選試日文):有機化學概要#119484
113年 · #119484