阿摩線上測驗
登入
首頁
>
公職◆集水區經營與水文學
> 101年 - 101 高等考試_三級_水土保持工程:集水區經營與水文學(重覆)#26126
101年 - 101 高等考試_三級_水土保持工程:集水區經營與水文學(重覆)#26126
科目:
公職◆集水區經營與水文學 |
年份:
101年 |
選擇題數:
0 |
申論題數:
5
試卷資訊
所屬科目:
公職◆集水區經營與水文學
選擇題 (0)
申論題 (5)
一、試說明合理化公式用以估算尖峰流量之理論依據。(20 分)
二、試說明水庫集水區之泥砂淤積防止對策。(20 分)
三、試說明水文頻率分析之極端值第一類分布法之步驟。(20 分)
【已刪除】四、試推導荷頓(Horton)入滲率公式
;其中, f
o
= 初始入滲率 , f
c
=最終入滲率。並說明衰減係數 k 對入滲率及入滲量之影響。(20 分)
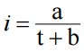
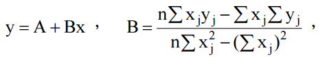
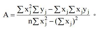
【已刪除】五、假設某重現期距下,降雨強度(i)與降雨延時(t)之關係式為
,試說明待 定常數 a, b 依統計與圖解之求法。(20 分) 提示:簡單直線廻歸方程式
。
相關試卷
114年 - 114 地方政府公務特種考試_三等_水土保持工程:集水區經營與水文學#134746
114年 · #134746
114年 - 114 地方政府公務特種考試_四等_水土保持工程:集水區經營與水文學概要#134642
114年 · #134642
114年 - 114 公務升官等考試_薦任_水土保持工程:集水區經營與水文學#133119
114年 · #133119
114年 - 114 高等考試_三級_水土保持工程:集水區經營與水文學#128523
114年 · #128523
114年 - 114 普通考試_水土保持工程:集水區經營與水文學概要#128440
114年 · #128440
113年 - 113 地方政府公務特種考試_三等_水土保持工程:集水區經營與水文學#124523
113年 · #124523
113年 - 113 地方政府公務特種考試_四等_水土保持工程:集水區經營與水文學概要#124365
113年 · #124365
113年 - 113 高等考試_三級_水土保持工程:集水區經營與水文學#121283
113年 · #121283
113年 - 113 普通考試_水土保持工程:集水區經營與水文學概要#121140
113年 · #121140
112年 - 112 地方政府特種考試_三等_水土保持工程:集水區經營與水文學#118179
112年 · #118179