阿摩線上測驗
登入
首頁
>
有機化學
> 102年 - 102 公務升官等考試_薦任_化學工程:有機化學#42050
102年 - 102 公務升官等考試_薦任_化學工程:有機化學#42050
科目:
有機化學 |
年份:
102年 |
選擇題數:
0 |
申論題數:
26
試卷資訊
所屬科目:
有機化學
選擇題 (0)
申論題 (26)
【已刪除】 ⑴
【已刪除】 ⑵
【已刪除】 ⑶
【已刪除】 ⑷
【已刪除】 ⑸
【已刪除】 ⑹
【已刪除】 ⑺
【已刪除】 ⑻
【已刪除】 ⑼
【已刪除】 ⑽
【已刪除】二、寫出下列反應之反應機構:(5 分)
【已刪除】三、1,3-環戊二烯(cyclopentadiene)分子的酸性(pK
a
= 16.0)比 1,3,5-環庚三烯 (cycloheptatriene; pK
a
= 39.0)大,試解釋之。(5 分)
⑴ 1-己炔(1-hexyne)
⑵ 3-己炔(3-hexyne)
【已刪除】 ⑶ CH
3
(CH
2
)
3
D
⑷順-3-己烯(cis-3-hexene)
⑸反-3-己烯(trans-3-hexene)
【已刪除】五、請提供下列合成反應式中,化合物 A-E 的結構。(10 分)
【已刪除】六、寫出下列反應的產物結構及反應機構。(10 分)
【已刪除】七、請寫出完成下列合成流程內的試劑或中間化合物 A 至 E。(10 分)
⑴為何是溴而不是氟原子被取代?(2 分)
⑵試畫出反應物、產物的立體結構與本反應的過渡態(transition state)。(4 分)
⑶反應前後的組態(configuration)為保留(retention)或翻轉(inversion)?(2 分)
⑷此反應為 S
N
1、S
N
2、E1 或 E2 反應?(2 分)
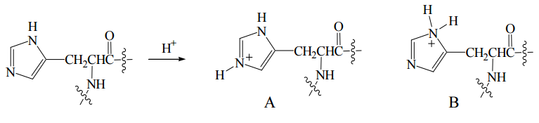
【已刪除】九、組胺酸(histidine)在酵素催化反應中可扮演質子的接受者,質子化後結構 A 和結 構 B 那一個較穩定(3 分)?並說明理由。(7 分)
十、環辛酮(cyclooctanone)的氫去偶合碳-13 核磁共振光譜吸收信號在化學位移 25.33, 25.93, 27.58, 41.99 及 216.0 ppm,某生將此化合物置於 NaOD / D
2
O 溶液中,發現位 移 41.99 ppm 的信號消失,而且在位移 41.33 ppm 的位置出現 1:2:3:2:1 的 5 條分裂信號,請寫出化學反應機構以說明前後的變化。(10 分)
相關試卷
115年 - 115 關務特種考試_三等_化學工程(選試英文):有機化學#138982
115年 · #138982
115年 - 115 關務特種考試_四等_化學工程(選試英文):有機化學概要#138903
115年 · #138903
114年 - 114 公務升官等考試_薦任_化學工程:有機化學#133257
114年 · #133257
114年 - 114 調查特種考試_三等_化學鑑識組、醫學鑑識組:有機化學#129586
114年 · #129586
114年 - 114 一般警察特種考試_二等_刑事鑑識人員材料及化學物品鑑析組:有機化學#127790
114年 · #127790
114年 - 114 關務特種考試_三等_化學工程(選試英文):有機化學#126661
114年 · #126661
114年 - 114 關務特種考試_四等_化學工程(選試英文):有機化學概要#126655
114年 · #126655
113年 - 113 調查特種考試_三等_化學鑑識組、醫學鑑識組:有機化學#122084
113年 · #122084
113年 - 113 關務特種考試_三等_化學工程(選試英文):有機化學#119488
113年 · #119488
113年 - 113 關務特種考試_四等_化學工程(選試英文)、化學工程(選試日文):有機化學概要#119484
113年 · #119484