所屬科目:A.土木建築概要 B.施工規劃及控制概要
2.有一三角形,其∠A=60,∠B=70,若AB方位角為30,則BC之方位角為多少? (A)120° (B)130°(C)140° (D)150°
10.如下圖所示,請問此力系之合力(含合力與合力矩)為多少? (A)0N (B)40N (C)55N-m (D)85N-m
50.如TF為總浮時,FF為自由浮時,F為干擾浮時,則計算「干擾浮時」 之公式為: (A)IF=TF-FF (B)IF=TF+FF(C)IF=FF-TF (D)IF=TF÷FF
54.如【圖54】所示,結點稱為: (A)匯合點 (B)分裂點 (C)合流點 (D)虚點
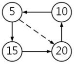
55.下列各箭線圖,何者繪製正確? (A) (B) (C) (D)
59.日程計劃中,「1日平均施工量」之計算公式為下列何者? (A)工程作業量X作業可能日數 (B)工程作業量X日暦天數 (C) 工程作業量÷作業可能日數 (D) 工程作業量÷日曆天數
61.如【圖60】所示,該網圖中結點最早完成時間為: (A) 9天 (B) 10天 (C) 11天(D) 12天
62.如【圖60】所示,該網圖中結點最遲開始時間為: (A) 6天 (B) 5天 (C) 8天(D)12天
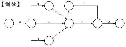
68.如【圖68】所示,該網圖中之作業關係,下列敘述何者錯誤? (A)B、C、D為並行作業 (B)C的後續作業僅有F (C)E的先行作業有B、C、D (D)E、F皆為G的先行作業
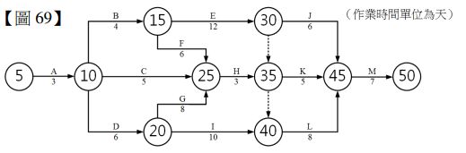
69.如 【圖69】所示,該網圖要徑上各作業工期總天數為何? (A)23天 (B)31天 (C)32天 (D)35天
70.根據【表70】所示,下列敘述何者錯誤? (A)該工程之開始作業僅為A作業 (B)F、H作業同為該工程之最後作業 (C)G作業從屬於B、D作業 (D)繪製之箭線圖,只有一條虛作業
74.如【表74】所示為某一工程時間與成本之關係,請問此工程之成本坡度為多少? (A)200元 (B)150元 (C)80元(D)40元