所屬科目:台水評價◆程式設計概要
10.算術運算式轉為程式語言表達方式,下列何者正確? (A) v = p2 – p1 / (t2 – t1); (B) v = (p2 – p1) / (t2 – t1); (C) v = p2 – p1 / t2 – t1; (D) v = p2 – (p1 / t2 – t1);
14.下列程式片段會印出幾次 hello? (A) 10 次 (B) 8 次 (C)無限多次 (D) 0 次
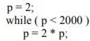
15.下列程式片段執行後,變數 p 的值會是多少?(A) 1023 (B) 1024 (C) 2047 (D) 2048
19.下列遞迴函數 mystery 若給定輸入參數值 4,則回傳值會是多少?(A) 1 (B) 24 (C) 0 (D) 4
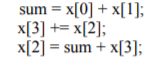
24.下圖為列陣裡存放的數值,在執行下列程式片段後,x[2]裡面的值會是多少?(A) 14 (B) 28 (C) 40 (D) 42
25.在執行下列程式片段後,第一個 printf 的函數呼叫會執行多少次?(A) 7 次 (B) 21 次 (C) 30 次 (D)無法計算
26.在 Java 程式中定義計算費布納契數列的函數如下: 那麼要執行敘述 int x = Fibonacci(6);一共需要呼叫 Fibonacci()函數幾次? (A) 12 次 (B) 13 次 (C) 14 次 (D) 15 次
27.有關 C++程式碼的執行結果,下列何者正確? (A) b 的值變成 1 (B) b 的值變成 2 (C) b 的值變成 3 (D) b 的值變成 4
29.對於下列 Java 程式碼的執行結果,何者正確?(A) c 的值變成 15 (B) c 的值變成 30 (C) c 的值變成 45 (D) c 的值變成 60
32.下列的 C++程式碼總共宣告了三個同名變數 x: 有關前述這段程式碼的敘述,何者正確? (A)程式會印出 2 (B)程式會印出 72 (C)無法編譯,因為第一個 x 和第二個 x 不能同時存在 (D)無法編譯,因為 for 迴圈內不能宣告新的區域變數
33.有關 Java 程式碼的輸出字串,下列何者正確? (A) sis (B) sisa (C) asa (D) asat
43.下列Visual Basic程式碼的空白處應該用什麼修飾字才能讓swap子程序執行後可以把兩個參數的值互換? (A) ByVal (B) ByRef (C) Optional (D) Overridable
49.在 Java 語言中 Math.sqrt()方法可以計算一個數的平方根,請問下列程式碼編譯執行後會列印出什麼?(A) 5 (B) -5 (C) NaN (D) -Infinity
50.有關 Java 程式碼的敘述,下列何者錯誤?(A) final 代表 height 是一個常數 (B) private 代表只有 cx 類別內的方法可以取用 height (C) static 代表 height 只有一個,給所有 cx 類別的變數共同使用 (D) Java 提供的圓周率 Math.PI 也是同樣用 private final static 定義的