阿摩線上測驗
登入
首頁
>
物理化學
> 102年 - 102 專技高考_專利師(選試專業英文及物理化學)、專利師(選試專業日文及物理化學):物理化學#26095
102年 - 102 專技高考_專利師(選試專業英文及物理化學)、專利師(選試專業日文及物理化學):物理化學#26095
科目:
物理化學 |
年份:
102年 |
選擇題數:
0 |
申論題數:
17
試卷資訊
所屬科目:
物理化學
選擇題 (0)
申論題 (17)
一、一系統中的理想氣體體積在定壓下縮小,造成周遭 1.50 公斤的水溫度上升 12.3℃, 計算系統所放的熱。水的比熱是 4.18 J⋅g
-1
⋅K
-1
(J 是焦耳,g 是克,K 是溫度)。 (5 分)
二、一個可逆的熱機在 600℃和 200℃間運作,假設在 600℃下有 1500 J 的熱被吸收,計 算此系統可以做的功最大為多少?(10 分)
三、一個獨立的系統裡面有 2 個隔間,其中 1 個含有 2.0 莫耳的氫氣,另 1 個含有 3.0 莫耳的氧氣。兩個氣體的壓力都是 1 bar(1 atm = 1.013 bar),溫度是 25℃。假如 將 2 氣體間的隔板移除,使其混合,計算ΔS
mixing
。(10 分)
⑴計算減縮質量(μ, reduced mass),以公斤為單位。(4 分)
⑵解此問題所使用的薛丁格(Schrödinger)方程式含有幾個變數?會得到幾個量子 數?(4 分)
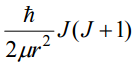
【已刪除】⑶解出薛丁格方程式後所得的轉動能為
,其中 J 是量子數,求角動量的長度。(4 分)
⑷當 J = 1 時,畫出所有可能的角動量和其方向。(6 分)
⑴寫出氦(He)原子的漢密爾頓運算子(Hamiltonian operator)。(4 分)
⑵解此問題所使用的薛丁格方程式是否有正解(exact solution)?為什麼?(4 分)
【已刪除】⑶假設氦原子中的 2 個電子不會互相作用時,求氦原子在基態的能量是多少 eV? (提示:一個似氫(hydrogen-like)原子在基態的能量是
(4 分)
⑷以 1sα代表 1 個電子的全波函數(total wave function),寫出氦原子基態的全波 函數。(注意:全波函數必須符合每個電子是不可區分的概念。)(4 分)
【已刪除】六、反應式 A
(g)
+ 2B
(g)
→ 2C
(g)
+ 2D
(g)
在定溫下所得之數據如下表,推算反應速率定律式 (reaction rate law)。(10 分)
⑴指出三相點。(4 分)
⑵指出兩相共存處。(5 分)
⑶指出單相處。(4 分)
⑴計算反應起始 600 秒的反應速率。(8 分)
⑵計算反應的半衰期。(10 分) 附錄 1.氣體常數(gas constant, R)R = 8.314 J⋅mol
−1
⋅K
−1
2.亞佛加厥常數(Avogadro’s number)= 6.022×1023 mole−1
相關試卷
114年 - 114 公務升官等考試_薦任_商品檢驗:物理化學#133264
114年 · #133264
114年 - 114 專技高考_專利師(選試專業英文及物理化學)、專利師(選試專業日文及物理化學):物理化學#130114
114年 · #130114
113年 - 113 專技高考_專利師(選試專業英文及物理化學)、專利師(選試專業日文及物理化學):物理化學#122216
113年 · #122216
112年 - 112 公務升官等考試_薦任_商品檢驗:物理化學#117324
112年 · #117324
110年 - 110 公務升官等考試_薦任_商品檢驗:物理化學#103703
110年 · #103703
110年 - 110 專技高考_專利師(選試專業英文及物理化學)、專利師(選試專業日文及物理化學):物理化學#100751
110年 · #100751
109年 - 109 專技高考_專利師(選試專業英文及物理化學)、專利師(選試專業日文及物理化學):物理化學#90221
109年 · #90221
108年 - 108 公務升官等考試_薦任_商品檢驗:物理化學#80518
108年 · #80518
108年 - 108 專技高考_專利師(選試專業英文及物理化學)、專利師(選試專業日文及物理化學):物理化學#78681
108年 · #78681
107年 - 107 專技高考_專利師(選試專業英文及物理化學)、專利師(選試專業日文及物理化學):物理化學#71648
107年 · #71648