阿摩線上測驗
登入
首頁
>
熱力學與熱傳學
> 102年 - 102 專技高考_機械工程技師:熱力學與熱傳學(包括熱機)#43680
102年 - 102 專技高考_機械工程技師:熱力學與熱傳學(包括熱機)#43680
科目:
熱力學與熱傳學 |
年份:
102年 |
選擇題數:
0 |
申論題數:
12
試卷資訊
所屬科目:
熱力學與熱傳學
選擇題 (0)
申論題 (12)
一、熱阻常應用於電腦散熱系統之初步設計,試說明熱傳三個基本模式(basic models) 之定律,並以此定律表達熱阻值之數學式。(10 分)
二、有一 3 m 長之電線,其銅線(電阻為 0.0209 Ω/m)直徑 2 mm,外包覆 3 mm 厚的 絕緣橡膠(熱傳導係數為 0.2 W/mK),此電線置放於溫度 25℃,熱傳遞係數 20 W/m
2
K 之環境。若忽略材料間的介面熱阻,當橡膠設計最高溫度是 125℃時,請 計算通電後電流不得超過多少安培。(10 分)
⑴由 500 kPa,127℃膨脹至 250 kPa,77℃。(5 分)
⑵由 500 kPa,127℃膨脹至 300 kPa,67℃。(5 分)
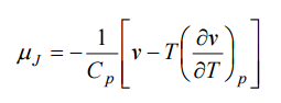
【已刪除】 ⑴以熱力學關係式(可以用 h(T,p)和 s(T,p))證明
⑵證明理想氣體之 μ
J
= 0 。(5 分)
⑶請以 p-T 圖說明 μ
J
正負值在節流過程中之物理意義。(5 分)
五、有一高溫能源庫(high-temperature reservoir, T
H
)供能量 400 kJ(Q
H
)給一熱機,此 熱機輸出功 140 kJ,其未用熱能釋放至低溫能源庫(T
L
)。試求此熱機最大可能輸 出功和第二定律效率。(10 分)
六、氣輪機之動力循環中,空氣以 300 K,100 kPa 進入效率 88%之壓縮機,並以 620 kPa 流出後入燃燒室作等壓加熱,其所用燃料熱值是 44186 kJ/kg fuel,且燃料/空氣比是 0.017 kg fuel/kg air。若輪機的效率是 90%,試求每公斤空氣之輪機輸出功,壓縮機輸 入功和循環熱效率。(可以採用 700 K 時空氣C
p
= 1.065 kJ/kgK ,比熱常數比 k = 1.4 ) (20 分)
⑴總熱傳面積。(10 分)
⑵此交換器之性能係數(effectiveness, ε )和傳遞單位數(Number of transfer units, Ntu )。 (5 分)
【已刪除】 ⑶熵之增加率 (
) 。(5 分)
相關試卷
114年 - 114 專技高考_機械工程技師:熱力學與熱傳學(包括熱機)#133703
114年 · #133703
114年 - 114 專技高考_冷凍空調工程技師:熱力學與熱傳學#133651
114年 · #133651
113年 - 113 專技高考_機械工程技師:熱力學與熱傳學(包括熱機)#123896
113年 · #123896
113年 - 113 專技高考_冷凍空調工程技師:熱力學與熱傳學#123887
113年 · #123887
112年 - 112 專技高考_機械工程技師:熱力學與熱傳學(包括熱機)#117678
112年 · #117678
112年 - 112 專技高考_冷凍空調工程技師:熱力學與熱傳學#117614
112年 · #117614
111年 - 111 專技高考_機械工程技師:熱力學與熱傳學(包括熱機)#111912
111年 · #111912
111年 - 111 專技高考_冷凍空調工程技師:熱力學與熱傳學#111911
111年 · #111911
110年 - 110 專技高考_機械工程技師:熱力學與熱傳學(包括熱機)#104214
110年 · #104214
110年 - 110 專技高考_冷凍空調工程技師:熱力學與熱傳學#104163
110年 · #104163