所屬科目:教甄◆數學
1. 設 f(x) = xcosx + ,則之值為何? (A) -1 (B) -2 (C) 1 (D) 2
2. 附圖,設四邊形ABCD與四邊形 AEFG均為正方形,且 E 恰好落在之中點,若= 4,則圖中黑色部分 (四邊形ADHE)面積為何? (A) 9 (B) 10 (C) 11 (D) 12
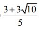
3. 已知 log3 = 0.4771,設 n 為最小的自然數滿足,則 n =? (A) 19 (B) 20 (C) 21 (D) 22
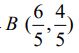
4. 設A (0, -1) 與為橢圓= 1 上之兩點,若C(a, b) 為橢圓上之另一點,使得△ABC面積為最大, 求△ABC之面積為何? (A) (B)(C) (D)
5. 在一段路程中,小孩走 7 步的時間,大人可走 5 步,但 大人走 3 步的距離,小孩要走 7 步,若大人讓小孩先走 210 步,則大人必須走幾步才可追到小孩? (A) 225 步 (B) 200 步 (C) 175 步 (D) 150 步
6. 由四點A(0, 0),B(2, 0),C(2, 1),D(0, 1) 所圍的四邊 形中任選一點 P,則 P 到原點的距離小於 P 到點 (3, 1) 的距離之機率為何? (A)(B)(C)(D)
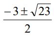
7. 設,則 x3 + 3x + 1 的值為何? (A) 1 + 2√3 (B) 3 + √3 (C) 6 - √3 (D) 7 - 2√3
8. 若三直線 L₁:2x + y - 12 = 0,L₂:2x - y + 4 = 0, L₃:x - 2y - 2 = 0 所圍成的三角形的內心座標為 (x₀, y₀),則 x₀ + 3y₀ =? (A) 9 (B) 10 (C) 11 (D) 12
9. 方程式 x² + y² = 3z² 的整數解有幾組? (A) 1 組 (B) 4 組 (C) 6 組 (D) 12 組
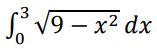
10. =? (A) π (B) (C) (D)
11. 三角形三邊長分別為 4, 5, 6,請問三角形內任意點至 3 邊距離平方和的最小值為何? (A) 50 (B) 225/44 (C) 189/49 (D) 289/50
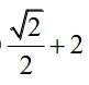
12. 已知 x⁶ + x⁵ + x⁴ + x³ + x² + x + 1 = 0 之六個根在複數平面上所對應的點形成一個六邊形,試求此六邊形之面積為何? (A) (√2 + 1) / 2 (B) (C) (D)
13. (1 + x + 2y+3z)⁶展開化簡後,會有幾項? (A) 24 (B) 18 (C) 84 (D) 360
14. 極坐標方程式 r = , θ = π時的切線斜率為何? (A) 0 (B) 1 (C) π/2 (D) -π/2
15., a₀ = a₁ = 1, 求為何? (A) 0 (B) 1 (C) -1 (D) a₉₉ × a₉₈
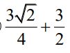
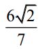
16. 求被37除的餘數。 (A) 10 (B) 9 (C) 8 (D) 11
17. 令(2x+1)⁷ = a7x⁷ + a6x⁶ + a5x⁵ +……+a1x+a0,求 a₇+a₅+a₃+ a₁之值。 (A) 2121 (B) 1999 (C) 1094 (D) 2013
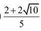
18. 求y=4-x² 與 y = x² 二曲線所圍之面積 (A)(B)(C)(D)
19. 令S = {(a,b,c,d) ∈ R⁴ | a + c + d = 0},
T = {(a,b,c,d) ∈ R⁴ | a + b = 0, c = 2d}, 求dim(S∩T) (A) 2 (B) 1 (C) 3 (D) 以上皆非
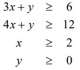
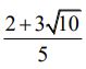
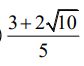
20. 試求M = 4x+y的最小值,其中x,y的限制條件如下(A) 10 (B) 11 (C) 12 (D) 9
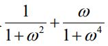
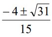
21. 求(2x+1)(3x+1)(5x+1)(30x+1)=10 的實數解 (A)(B)(C) (D) 以上皆非
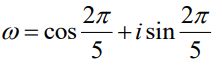
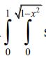
22. 設 , 求之值為何? (A) -1 (B) 1 (C) ω (D)
23. 求sin(x² + y²)]dydx的值 (A)(B)(1-cos1) (C) (D)
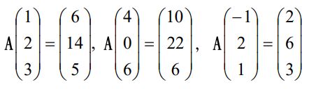
24. 令x,y,z,w滿足方程組求w (A) 2 (B) 3 (C)(D)
25. 假設A是3×3方陣使得,則=?(A)(B) (C)(D)