阿摩線上測驗
登入
首頁
>
研究所、轉學考(插大)-微積分
> 102年 - 102 淡江大學 轉學考 微積分#53701
102年 - 102 淡江大學 轉學考 微積分#53701
科目:
研究所、轉學考(插大)-微積分 |
年份:
102年 |
選擇題數:
0 |
申論題數:
14
試卷資訊
所屬科目:
研究所、轉學考(插大)-微積分
選擇題 (0)
申論題 (14)
(i)f(x)=x
x+1
【已刪除】(ii)
2.( 10%)Use definition to find the derivative of f (x) = x
2
+ 4y√x .
3.(10%) Find the slope of the curve y
4
+x
4
-2x
2
y
2
= 9, at the point (2, 1).
(a) f(x) = x
4
+8x
3
+18x
2
-8
(b) f(x,y)=x
4
-y
4
-4xy +1
5. (10%)Maximize and minimize f (x,y) = 4xy subject to the constrain x
2
+y
2
=50
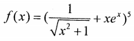
【已刪除】(a)
【已刪除】(b)
【已刪除】(a)
【已刪除】(b)
8. (8%) Find the area between the curves y = 12-3x
2
and y=4x + 5 from x=0 to x=3.
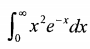
【已刪除】a
【已刪除】b
相關試卷
114年 - 114 臺灣綜合大學系統_學士班轉學生考試試題:微積分A#137897
114年 · #137897
114年 - 114 臺灣綜合大學系統_學士班轉學生考試試題:微積分B#137819
114年 · #137819
114年 - 114 台灣聯合大學系統_學士班轉學生考試試題:微積分#137762
114年 · #137762
114年 - 114 台灣聯合大學系統_學士班轉學生考試試題:微積分#137761
114年 · #137761
114年 - 114 國立臺灣大學_轉學生招生考試_物理學系/土木工程學系/生物環境系統工程學系/生物機電工程學系:微積分(B)#137745
114年 · #137745
114年 - 114 國立臺灣大學_轉學生招生考試_數學系:微積分(A)#137744
114年 · #137744
113年 - 113 國立嘉義大學_轉學生招生考試試題_(全校):微積分#122986
113年 · #122986
112年 - 112 國立臺灣大學_碩士班招生考試題:微積分(D)#130254
112年 · #130254
112年 - 112 國立陽明交通大學_碩士班入學招生試題_統計學研究所﹕微積分與線性代數#130252
112年 · #130252
112年 - 112 國立嘉義大學_轉學生招生考試試題:微積分#123297
112年 · #123297