阿摩線上測驗
登入
首頁
>
研究所、轉學考(插大)-微積分
> 102年 - 102 淡江大學 轉學考 機率與微積分#53704
102年 - 102 淡江大學 轉學考 機率與微積分#53704
科目:
研究所、轉學考(插大)-微積分 |
年份:
102年 |
選擇題數:
0 |
申論題數:
9
試卷資訊
所屬科目:
研究所、轉學考(插大)-微積分
選擇題 (0)
申論題 (9)
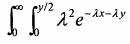
【已刪除】1. Calculate
dxdy. (10%)
(1) Derive the joint p.d.f. of U and V • (20%)
(2) Are the random variables U and V independent? Why? (8%)
【已刪除】3. If for three events A, B, C it happens that either
, what conclusions can you draw? (8%)
4. Let Z ~N(0,1), derive the moment generating function M
z
(t). (12%) .
【已刪除】 (1 ) Determine the conditional probability density function
(12%)
(2 ) Calculate E(Y|X = x). (10%)
【已刪除】6. Evaluate the integral
. (10%)
【已刪除】7. Find the value of
at the point (1,-1, -3) if the equation xz + ylnx-x
2
+ 4 = 0 defines x as a function of two independent variables y and z and the partial derivative exists. (10%)
相關試卷
114年 - 114 臺灣綜合大學系統_學士班轉學生考試試題:微積分A#137897
114年 · #137897
114年 - 114 臺灣綜合大學系統_學士班轉學生考試試題:微積分B#137819
114年 · #137819
114年 - 114 台灣聯合大學系統_學士班轉學生考試試題:微積分#137762
114年 · #137762
114年 - 114 台灣聯合大學系統_學士班轉學生考試試題:微積分#137761
114年 · #137761
114年 - 114 國立臺灣大學_轉學生招生考試_物理學系/土木工程學系/生物環境系統工程學系/生物機電工程學系:微積分(B)#137745
114年 · #137745
114年 - 114 國立臺灣大學_轉學生招生考試_數學系:微積分(A)#137744
114年 · #137744
113年 - 113 國立嘉義大學_轉學生招生考試試題_(全校):微積分#122986
113年 · #122986
112年 - 112 國立臺灣大學_碩士班招生考試題:微積分(D)#130254
112年 · #130254
112年 - 112 國立陽明交通大學_碩士班入學招生試題_統計學研究所﹕微積分與線性代數#130252
112年 · #130252
112年 - 112 國立嘉義大學_轉學生招生考試試題:微積分#123297
112年 · #123297