阿摩線上測驗
登入
首頁
>
工程數學(應用數學, 線性代數、微分方程、複變函數與機率)
> 102年 - 102 身心障礙特種考試_三等_電力工程、電子工程:工程數學#35750
102年 - 102 身心障礙特種考試_三等_電力工程、電子工程:工程數學#35750
科目:
工程數學(應用數學, 線性代數、微分方程、複變函數與機率) |
年份:
102年 |
選擇題數:
20 |
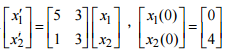
申論題數:
6
試卷資訊
所屬科目:
工程數學(應用數學, 線性代數、微分方程、複變函數與機率)
選擇題 (20)
1 有一微分方程式y ′′ − 4y ′ + y = 0 , y (0)= 3 , y′(0) =1,下列何者為其解?(A)
(B)
(C)
(D)
2 求解微分方程式y ′′ + y ′ + y = 05y=0 ,其解為? (A)
(B)
(C)
(D)
3 設
之拉氏轉換,則下列何者為初值定理(Initial-Value Theorem)? (A)
(B)
(C)
(D)
4 下列何者為 y ′= 1+ y
2
, y (0)= 0 之解? (A)
(B)
(C)
(D)
5 已知微分方程式x
2
y'+y=6x
3
+5
x
2
+2x+1的解可表為y(x)=
,試求常數
a
0、
a
1及
a
2 之值,並 判定下列何者正確? (A) a0+
a
1+
a
2 = 6 (B)
a
0+
a
1+
a
2=4(C)
a
0+
a
1+
a
=2(C)
a
0+
a
1+
a
2=0
6 已知微分方程式 y"+
a
y'+ βα=Ke
-3
的特解為yP(x)=2x
2
e
-3x
′,試求常數α 、β 及 K 之值,並判定下列 何者正確? (A)α + β + K=7 (B)α + β + K =13 (C)α + β K =+ 19 (D)α + β + K = 25
7 函數 f (t) 之拉氏轉換(Laplace transform)為 L ){f(t)} ,令 F(s)=L {
tsin(2t)},則 F (4)等於何值? (A) 1/100 (B) 1/50 (C) 1/25 (D) 1/10
8 假設兩向量
R
1=pi-2
j
+
k
;
R
2=
i
+8
j
+ q
k
,下列何者之 p,q 值會使
R
1平行
R
2? (A) p =- 4, q = 4 (B) p = 4, q = −4 (C)
(D)
9 試求向量場v=2xyi+xe
y
j +2zk 的散度(divergence): (A)
(B)
(C)
(D)
10 求複變函數積分
之值,其中積分路徑 C 為複數平面上包圍點 -2i的任意逆時鐘方向封閉曲 線,其中
。 (A) 0 (B) 10π (C) 20π (D) 50π
11 複變函數
在 z = 0的留數(residue)為何?A)
(B)
(C)
(D)
12 請計算 e
2
+7 πi 之值,其中
。 (A) e
2
(B) − e
2
(C) ie (D) -ie
2
13 設
,其中
,求
? (A)
(B)
(C)
(D)
14 設
A
及 B 為任二 n×n 矩陣,且已知 AB=0 (其中 0 為零矩陣),則下列敘述何者恆真? (A) A =0或 B=0 (B) 0 (C) A
┬
B
┬
= 0 (D) B
┬
A
┬
= 0
155 設
A、B
及
C
為任三 × nn 矩陣,則下列敘述何者不恆真? (A)
(B)
(C)
(D)若 AB = AC,則 B= C
16 令 I 表示單位矩陣,右上標 T 表示轉置(transpose),下列之
不是線性轉換(linear transformation)?(A) )L(A) = 3A (B)L(A)=A
T
(C) L(A)=A − I (D) L(A)=A+A
T
17 函數
在1 <|z | < 2的前提下可展開為
,則
a
1值為: (A) 0 (B) 4 1 (C) 2 1 (D) 1
18 若一粒子受
之力,沿以(1,1),(0,1),(1,3),(0,3)為頂點之長方形路徑 C 順時針 方向運動一圈,求 F 所作的功: (A) 2 (B) 4 (C) 6 (D) 8
19 兩連續隨機變數 X、Y 之結合機率密度函數(joint probability density function)為
,則下列何者錯誤? (A)
(B)
(C)
(D)
20 若一打雞蛋中有 3 個尚未煮熟,自該打雞蛋中隨機挑出 2 個,試求所挑出之 2 個雞蛋皆已煮熟之機率。 (A)
(B)
(C)
(D)
申論題 (6)
【已刪除】一、試利用拉氏轉換(Laplace transform)求解
(其中
)。(15 分)
二、試求函數ϕ=( x, z,y )=xy+yz+zx於位置 (1,2,3) 朝向點 (0,1,2) 之方向導數。(10 分)
【已刪除】三、假設隨機變數 X 與 Y 的聯合機率密度函數(joint probability density function)如下:
⑴試求 k 值。(5 分)
⑵試求隨機變數 X 的邊際分布函數(marginal distribution function)。(5 分)
⑶試計算出隨機變數 X 的期望值(mean value),亦即 E(X)。(5 分)
四、試求出滿足方程式sin z = cosh4之所有的根,此處z = x + iy 為複數(complex number)。 (10 分)
相關試卷
114年 - 114 專技高考_電機工程技師:工程數學(包括線性代數、微分方程、複變函數與機率)#133679
114年 · #133679
114年 - 114 專技高考_電子工程技師:工程數學(包括線性代數、微分方程、向量分析、複變函數與機率)#133677
114年 · #133677
114年 - 114 調查特種考試_三等_電子科學組:工程數學#129578
114年 · #129578
114年 - 114 國家安全情報特種考試_三等_電子組(選試英文):工程數學#127780
114年 · #127780
113年 - 113 專技高考_電子工程技師:工程數學(包括線性代數、微分方程、向量分析、複變函數與機率)#123976
113年 · #123976
113年 - 113 專技高考_電機工程技師:工程數學(包括線性代數、微分方程、複變函數與機率)#123971
113年 · #123971
113年 - 113 調查特種考試_三等_電子科學組:工程數學#122110
113年 · #122110
113年 - 113 身心障礙特種考試_三等_電力工程:工程數學#119517
113年 · #119517
112年 - 112 地方政府特種考試_三等_電力工程、電子工程:工程數學#118376
112年 · #118376
112年 - 112 專技高考_電機工程技師:工程數學(包括線性代數、微分方程、複變函數與機率)#117639
112年 · #117639