阿摩線上測驗
登入
首頁
>
研究生入学考试◆数学
> 102年 - 2013年全国硕士研究生入学考试数学一试题#13132
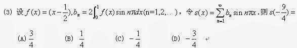
102年 - 2013年全国硕士研究生入学考试数学一试题#13132
科目:
研究生入学考试◆数学 |
年份:
102年 |
選擇題數:
8 |
申論題數:
0
試卷資訊
所屬科目:
研究生入学考试◆数学
選擇題 (8)
申論題 (0)
相關試卷
102年 - 2013年全国硕士研究生入学考试数学二试题#13131
102年 · #13131
102年 - 2013年全国硕士研究生入学考试数学三试题#13125
102年 · #13125
101年 - 2012年全国硕士研究生入学统一考试数学三真题#13138
101年 · #13138
101年 - 2012年全国硕士研究生入学统一考试数学二真题#13136
101年 · #13136
101年 - 2012年全国硕士研究生入学统一考试数学一真题#13133
101年 · #13133
100年 - 2011年全国硕士研究生入学统一考试数学三真题#13143
100年 · #13143
100年 - 2011年全国硕士研究生入学统一考试数学二真题#13141
100年 · #13141
100年 - 2011年全国硕士研究生入学统一考试数学一真题#13139
100年 · #13139
99年 - 2010年全国硕士研究生入学统一考试数学三真题#13148
99年 · #13148
99年 - 2010年全国硕士研究生入学统一考试数学二真题#13146
99年 · #13146