阿摩線上測驗
登入
首頁
>
高考◆数学◆吉林省
> 102年 - 2013年吉林省数学(理科)#13219
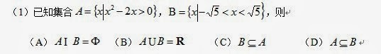
102年 - 2013年吉林省数学(理科)#13219
科目:
高考◆数学◆吉林省 |
年份:
102年 |
選擇題數:
12 |
申論題數:
8
試卷資訊
所屬科目:
高考◆数学◆吉林省
選擇題 (12)
申論題 (8)
相關試卷
102年 - 2013年吉林省文科数学#13220
102年 · #13220
101年 - 2012年吉林省文科数学#13225
101年 · #13225
101年 - 2012年吉林省文科数学#13224
101年 · #13224
101年 - 2012年吉林省理科数学#13222
101年 · #13222
100年 - 2011年吉林省文科数学#13227
100年 · #13227
100年 - 2011年吉林省理科数学#13226
100年 · #13226
99年 - 2010年吉林省文科数学#13229
99年 · #13229
99年 - 2010年吉林省理科数学试题#13228
99年 · #13228
98年 - 2009年吉林省文科数学#13237
98年 · #13237
98年 - 2009年吉林省理科数学#13230
98年 · #13230