阿摩線上測驗
登入
首頁
>
機械原理(機械概論、大意)
> 103年 - 103年地方四等-四等機械原理概要#42990
103年 - 103年地方四等-四等機械原理概要#42990
科目:
機械原理(機械概論、大意) |
年份:
103年 |
選擇題數:
0 |
申論題數:
5
試卷資訊
所屬科目:
機械原理(機械概論、大意)
選擇題 (0)
申論題 (5)
【已刪除】一、有一拉伸螺旋彈簧,彈簧線徑與彈簧指數分別為 3 mm 和 6,若抗拉降伏強度與抗 剪降伏強度分別為 300 MPa 和 180 MPa,試求該彈簧出現塑性變形前所能支撐的負 荷為何?(20 分) (註:應力修正係數
)
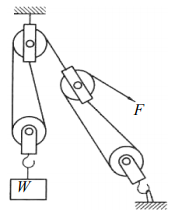
【已刪除】二、下圖為一動臂起動滑車,不考慮摩擦作用,載重 W 為 900 N,試求:該滑車的機械 利益為何?拉起該載重所需的拉力 F 為何?(20 分)
三、兩模數為 3 mm 之正齒輪相互嚙合傳動,正齒輪為全深齒制,兩正齒輪中心距離為 180 mm,轉數比為 1:5,試求大齒輪之齒數為何?(20 分)
四、試列舉兩種制動器,(6 分)並分別說明其工作原理。(14 分)
【已刪除】五、下圖為一螺旋機構,螺旋之導程為 12 mm,半徑 R 為 500 mm,以 600 N 的作用力施 加在把手 F 上,若摩擦損失為 40%,試問在螺帽 S 處可吊起重物 W 為何?(20 分)