阿摩線上測驗
登入
首頁
>
工業安全管理(含應用統計)
> 103年 - 103年高等三級暨普通考高考三級_工業安全#29134
103年 - 103年高等三級暨普通考高考三級_工業安全#29134
科目:
工業安全管理(含應用統計) |
年份:
103年 |
選擇題數:
0 |
申論題數:
6
試卷資訊
所屬科目:
工業安全管理(含應用統計)
選擇題 (0)
申論題 (6)
一、風險評估之作業流程(10 分)及各步驟的基本原則為何?(15 分)
二、如何做好穀倉作業安全的重點事項:粉塵控制與控制引燃源?(10 分)請詳述還有 那些可以預防粉塵爆炸之對策?(15 分)
三、何謂故障率、故障機率密度函數、累積故障機率密度函數、可靠度?(15 分)實務 上,如何取得故障率數據,及可靠度數據以作為風險評估所需機率之依據?(10 分)
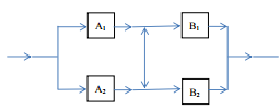
【已刪除】(一)可靠度方塊圖如下,機率各為0.9,系統可靠度為何?(5分)
【已刪除】(二)可靠度方塊圖如下,機率各為0.9,系統可靠度為何?(5分)
【已刪除】(三)可靠度方塊如下,機率各為0.9,系統可靠度為何?(15分)
相關試卷
114年 - 114 專技高考_工業安全技師:工業安全管理(包括應用統計)#133689
114年 · #133689
114年 - 114 公務升官等考試_薦任_職業安全衛生:工業安全管理(包括應用統計)#133152
114年 · #133152
113年 - 113 專技高考_工業安全技師:工業安全管理(包括應用統計)#123866
113年 · #123866
113年 - 113 專技高考_工業安全技師:工業安全工程#123851
113年 · #123851
112年 - 112 專技高考_工業安全技師:工業安全管理(包括應用統計)#117643
112年 · #117643
112年 - 112 公務升官等考試_薦任_職業安全衛生:工業安全管理(包括應用統計)#117249
112年 · #117249
112年 - 112 高等考試_二級_職業安全衛生:工業安全管理實務#116707
112年 · #116707
111年 - 111 地方政府特種考試_三等_職業安全衛生:工業安全管理(包括應用統計)#112422
111年 · #112422
111年 - 111 地方政府特種考試_四等_職業安全衛生:工業安全管理概要(包括應用統計)#112244
111年 · #112244
111年 - 111 專技高考_工業安全技師:工業安全管理(包括應用統計)#111905
111年 · #111905