所屬科目: 中山◆資工◆離散數學
(a) How many functions f:X→ Ysatisfy f(x1)=?
(a)
(b)
(c)
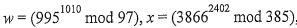
7. Please compute , and y= ((w-x) mod 17), and then output (w, x, y).
(b) Prove that () is isomorphic to ().