阿摩線上測驗
登入
首頁
>
研究所、轉學考(插大)-微積分
> 103年 - 103 國立臺灣師範大學_學士班轉學生招生考試試題_企業管理學士學位學程二年級:微積分#121965
103年 - 103 國立臺灣師範大學_學士班轉學生招生考試試題_企業管理學士學位學程二年級:微積分#121965
科目:
研究所、轉學考(插大)-微積分 |
年份:
103年 |
選擇題數:
0 |
申論題數:
14
試卷資訊
所屬科目:
研究所、轉學考(插大)-微積分
選擇題 (0)
申論題 (14)
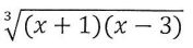
(a) Where is the function increasing and where is the function decreasing? (7 分)
(b) What are the local maximum or minimum? (6 分)
(c) Discuss the concavity of the function. (6 分)
(d) Find all points of inflection. (6 分)
(a)
(6 分)
(b)
(6 分)
(c) log
10
x
2
(6 分)
(d) x
2
(lnx)
2
(6 分)
(e) x
3
e
x
- x
2
e
x
+ xe
x
+ x (6 分)
(a)
xe
x
dx (7 分)
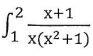
(b)
dx (6 分)
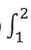
(c)
dr (6 分)
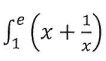
(d)
dx (6 分)
4. Let R be the region bounded by the line x-2y=0, x-2y=-4, x+y=4, and x+y=1. Evaluate the double integral ∬
R
3xydA. (20 分)
相關試卷
113年 - 113 國立嘉義大學_轉學生招生考試試題_(全校):微積分#122986
113年 · #122986
112年 - 112 國立臺灣大學_碩士班招生考試題:微積分(D)#130254
112年 · #130254
112年 - 112 國立陽明交通大學_碩士班入學招生試題_統計學研究所﹕微積分與線性代數#130252
112年 · #130252
112年 - 112 國立嘉義大學_轉學生招生考試試題:微積分#123297
112年 · #123297
112年 - 臺灣綜合大學系統112 學年度學士班轉學生聯合招生考試試題 微積分A#120563
112年 · #120563
112年 - 112 臺灣聯合大學系統(清華、陽交、中央 聯招)學士班轉學生考試_A3、A4、A6理工組:微積分#117689
112年 · #117689
112年 - 112 臺灣聯合大學系統(清華、陽交、中央三校聯招)學士班轉學生考試_A2商管組:微積分#117687
112年 · #117687
112年 - 112 國立高雄師範大學轉學生招生考試試題_電子工程學系二年級:微積分#116290
112年 · #116290
112年 - 112 國立高雄師範大學_轉學生招生考試試題_電機工程學系二年級:微積分#116289
112年 · #116289
111年 - 111 國立臺北大學_轉學生招生考試試題_經濟學系二年級:微積分#117728
111年 · #117728