阿摩線上測驗
登入
首頁
>
研究所、轉學考(插大)-微積分
> 103年 - 103 淡江大學 轉學考 微積分#53177
103年 - 103 淡江大學 轉學考 微積分#53177
科目:
研究所、轉學考(插大)-微積分 |
年份:
103年 |
選擇題數:
0 |
申論題數:
11
試卷資訊
所屬科目:
研究所、轉學考(插大)-微積分
選擇題 (0)
申論題 (11)
【已刪除】(a)
【已刪除】(b)
【已刪除】(a)
【已刪除】(b)
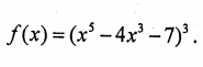
3. (15%) Determine where the given function, f (x) = 2x
3
+ 3x
2
- 12x - 7, is increasing and decreasing, and where its graph is concave up and concave down. Find the relative extrema and inflection points, and sketch the graph of the function.
【已刪除】(a)
【已刪除】(b)
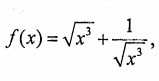
5. (10%) Find the area of the region enclosed by the curve y=x
3
and y = x
2
.
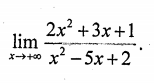
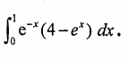
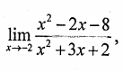
【已刪除】6. (10%) Find
dx • (Hint: Integrating by parts twice).
7. (15%) Find the critical points of the given flmctions, f (x, y) = x
3
-y
3
+ 6xy,and classify each as a relative maximum, a relative minimum, or a saddle point.
【已刪除】8. (10%) Evaluate the double integral over the specified region R. Choose the order of integration carefully.