阿摩線上測驗
登入
首頁
>
轉學考-物理
> 103年 - 103 淡江大學 轉學考 物理#53158
103年 - 103 淡江大學 轉學考 物理#53158
科目:
轉學考-物理 |
年份:
103年 |
選擇題數:
35 |
申論題數:
3
試卷資訊
所屬科目:
轉學考-物理
選擇題 (35)
1.地面對人的靜摩擦力是人能於地面上行走的動力來源。 (A)O(B)X
2.能量守恆律在物體速度接近光速時仍然是對的。 (A)O(B)X
3.虎克定律
’其中
所指的是彈簧的伸長/壓縮量。 (A)O(B)X
4.功-能原理與力學能(機械能)守恆是等價的。 (A)O(B)X
5.牛頓第三運動定律與動量守恆不是等價的。 (A)O(B)X
6.帶電質點於靜磁場中運動所受的羅倫茲力(Lorentz force)不滿足牛頓第三運動定律。 (A)O(B)X
7.質點系中的各質點相對於質心的動量等於零。 (A)O(B)X
8.質點系的質心與重心位於同一個位置。 (A)O(B)X
9.沿直線運動的質點,相對於不在運動軌跡上的任意原點,皆可定義角動量。 (A)O(B)X
10.剛體對任意軸的轉動動能等於質心轉動動能加上質心平移動能。 (A)O(B)X
11.波動是一種傳遞能量而不傳遞動量的振動。 (A)O(B)X
12. 7jC波從深水區進入淺水區時其頻率不會改變。 (A)O(B)X
13. 一個封閉的熱力學系統可與周遭環境交換能量。 (A)O(B)X
14. 一般真實氣體在低溫、高壓下,其特性接近於理想氣體。 (A)O(B)X
15.處於熱平衡狀態下的氣體,每個分子的速度不同且不爲定値。 (A)O(B)X
16.氣體歷經絕熱自由膨脹的過程無須作功。 (A)O(B)X
17.容器內的壓力正比於單位體積內的氣體分子動能。 , (A)O(B)X
18.假設理想氣體達成熱平衡時的溫度爲T,在每一自由度上》每-〜個理想氣體分子的平均 能量爲玎。 (A)O(B)X
19.對一個孤立系統而言,任何可以發生的過程,其熵的改變量恆等於零。 (A)O(B)X
20.卡諾熱機(Carnot Engine)的熱機效益小於-‘的事實,蘊含著熱力學第三定律° (A)O(B)X
21.任何兩個點電荷之間的交互作用與其它點電荷的存在無關。 (A)O(B)X
22.靜電場的散度爲零,旋度不爲零。 (A)O(B)X
23.若高斯面所包圍的淨電荷爲零,則高斯面上的電場強度爲零。 (A)O(B)X
24.對於空間中任意的電場分佈,皆可定義兩點間的電位差。 (A)O(B)X
25. 一任意形狀的封閉載流導線在磁場中所受的磁力爲零。 (A)O(B)X
26.庫倫定律(Coulomb Law)與必歐沙瓦定律(Biot-Savart Law)是一體的兩面。 (A)O(B)X
27.馬克斯威爾方程式(Maxwell’s equations)蕴含著電荷守恆律。 (A)O(B)X
28.普朗克常數(Planck constant)的單位與轉動慣量相同。 (A)O(B)X
29.棒球場上打擊者擊出的高飛球具有波的性質。 (A)O(B)X
30. —顆電子通過狹縫無法產生繞射現象。 (A)O(B)X
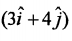
1.合力
牛頓作用於2.0公斤的物體上,使得此物體從
公尺移動到
公尺,請問它的動能改變了多少?(A)36;(B)28 J ; (C)32 J ; (D) 24 J ; (E) 48 J。
2.已知一維的位能函數U(x),它對應的力
沿著正的x軸方向,則: (A) U(x)是正的;(B) U(x)是負的;(C) [/(x)是x的遞增函數;D) f/Oc)是x的遞減函數; E)資訊不足,無法得知
的方向。
3• 一熱機操作於溫度爲T
H
的高溫熱庫與溫度爲T
L
的低溫熱庫之間。假設它的熱機效益爲 1 -T
L
/T
H
,下列何者正確? (A)它的工作物質爲理想氣體;(B)它是一台可逆的熱機;(C)它歷經一個準靜 (quasi-static)過程;(D)它歷經一個奧圖循環(an Otto cycle) ; (E)以上皆是。
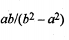
4. 一外徑爲a內徑爲办的球型電容器,其電容値正比於:(A)
(B)
(C)
(D)
(E)
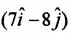
5. —半徑爲R的半圓形載流導線上流著的電流爲i,在其圓心處所建立的磁場大小爲:(A)
(B)
(C)
(D)
(E)
申論題 (3)
【已刪除】1.求長度爲L ’質量爲M,線密度爲
(其中
,λo是一常數)水平木棒 的質心位置。(提示:先試著將;λo以M與L表示出來。)
【已刪除】2.理想氣體歷經下列圖示的循環:假設path
A-B
是絕熱的過程;path
B-c
是定壓的過程,期間 從周遭環境吸收了 100 KJ的熱量;path
c-D
是等溫的過程,path
D-A
亦是定壓的過程,期間釋 放出150U的熱量。求內能的改變量
。(提示:爲了計算方使,取latm=10
5
Pa, 其中 lPa=lN/m
2
。)
【已刪除】3.利J用”庫倫定律”,求距離電荷密度爲σ勺均勻帶電無限大平面中心點z處的電場強度。(提 示:利用變數代換
計算出來。)
相關試卷
107年 - 107 台灣聯合大學系統_學士班轉學考試_A3/A6/A7:普通物理#99865
107年 · #99865
106年 - 台聯大轉學考 普通物理#99773
106年 · #99773
105年 - 105 台灣聯合大學系統_學士班轉學生考試試題:普通物理#124919
105年 · #124919
105年 - 105年地方四等-普通物理學概要#58765
105年 · #58765
105年 - 105年地方三等-近代物理#58638
105年 · #58638
105年 - 105年高等三級暨普通考高考三級原子物理 #57777
105年 · #57777
105年 - 105年高等三級暨普通考普通普通物理學概要 #54257
105年 · #54257
105年 - 105年高等三級暨普通考高考三級大氣物理學(包括大氣輻射與雲物理) #53985
105年 · #53985
105年 - 105年高等三級暨普通考高考三級放射物理學 #53980
105年 · #53980
104年 - 104 淡江大學 轉學考 物理#53086
104年 · #53086