所屬科目:1.資訊管理 2.程式設計
三、何謂死結(dead lock)(2 分)?交易(transaction)並行執行必須滿足哪些條件,死結才會發 生(6 分)?假定系統採用鎖定法來做並行控制,請畫出下表的 wait-for 圖,並列出產生死結的廻圈(7 分)。
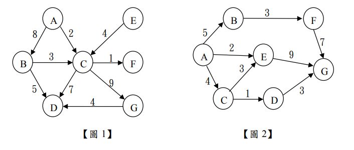
五、請以相鄰矩陣 (adjacency matrix)及相鄰串列 (adjacency list)表示法來表示下列二個圖形。(15 分)