所屬科目:國營事業◆1.化工熱力學 2.化學反應工程學
7. 已知某雙原子理想氣體,,欲將2 莫耳此氣體由30 ℃加熱至130 ℃需提 供約多少卡的熱量?(已知:理想氣體常數 R = 1.987 cal/mole/K) (A) 496 (B) 695 (C) 992 (D) 1390
11. 對於阿瑞尼亞士方程式(Arrhenius equation) 之敘述,下列何者正確? (A) k 是平衡常數(equilibrium constant) (B) Ea 是反應焓(enthalpy) (C) T 是波茲曼常數(Boltzmann constant) (D) A 是指數前因子(Preexponential factor)
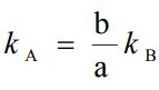
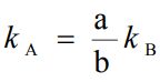
18. 有一基本反應式 aA + bB→ cC ,其各反應物 A 、 B 與產物 C 的反應速率常數分別表示為 kA 、kB 與kC,請問此3常數的關係,下列各項等式何者正確? (A)(B) (C)(D)
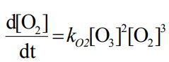
19. 已知氧存在時,臭氧的分解反應式:2 O3 →3 O2 ,其反應速率方程式為: 為臭氧分解速率常數,有關其反應,下列何者正確? (A)該反應的總反應級數為二級 (B)臭氧分解速率與氧氣濃度成反比 (C) kO3 與 kO2的關係為 2× kO3=3× kO2 (D)以氧氣生成來表達反應速率,則反應速率方程式可寫成
33. 有一個可逆反應的二級反應 ,其平衡常數 K 的表示式,下列何者正確? (A) K = k×k−1 (B) (C)(D)
35. 某一級反應式 A→ Products,其反應速率方程式為:,在反應起始時其反應速率 為 2×10-3 mole/l/min,經過 2小時後,反應速率降至0.25×10-3 mole/l/min,請問其半衰期(HalfLife) t1/2 是多少分鐘(min)? (A) 40 (B) 69 (C) 80 (D) 90
36. 有一級連續反應,反應式為 ,k1與k2為其反應速率常數,E1與E2為對應的反應活化能,已知 E1>E2 ,若想提高產品B的產率,則應該選擇下列哪項做法? (A)減少原料A的成分 (B)即時移去產品D (C)降低反應溫度 (D)提高反應溫度