所屬科目:國營事業◆經濟學
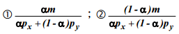
31. 假設某消費者擁有m的所得,並購買兩種商品x和y,且其效用函數為u(x,y)=xαy1-α。若 兩商品的價格分別為px和py,則該消費者為了達成效用的極大,在預算限制之下,應該 購買① 數量的x商品和 ②數量的y 商品,下列選項何者正確? (A) (B)(C) (D)