所屬科目:捷運◆計算機概論
3.陣列共有8列6行資料,若採「以行為優先」(Column-major)的方式儲存在記憶體中,且陣列的 起始位址為20。假設陣列中每項資料佔2個記憶單位,則第3列第4行的位址為何?(A)70(B)72(C)74(D)76
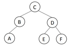
4.下列何者是以下二元樹前序(Preorder)追蹤法的結果? (A)ABCEDF (B)ABCDEF (C)CBADEF (D)EFDCAB。
11.下列哪些項目為系統所有程序發生死結(Deadlock)的充分必要條件? (A)ABDF (B)ABEF (C)ABDEF (D)ABCDEF。
17.假設下列邏輯閘有兩個輸入變數分別為x和y,則哪個邏輯閘的輸出為+ xy? (A)XOR (B)XN0R (C)NAND (D)N0R。
24.下歹i哪個布林運算式與邏輯式相等? (A) (B)(C)(D)以上皆是。
30.下列哪些典型的網路攻擊,實質上沒有進行真正的攻擊、入侵或干擾,但卻通常是攻擊前的準備 (A)AB (B)ABC (C)ABCD (D)ABCE。
35.下列關於資訊安全管理的敘述,何者不正確? (A)BS7799是廣泛被採用的資訊安全管理規範,並被ISO納為國際標準(B)資訊安全管理運作模 式可分為PDCA四大部份,包含規劃(PIan)、執行(DO)、查核(Check)、及行動() (C)資訊 安全管理是企業風險管理中重要的一環(D)企業導入資訊安全管理可避免資安事件的發生。
36.下列哪些措施有助於防護資訊與網路安全? (A)ABDEF (B)ABCDE (C)ABCEF (D)ABCDEF。
38.下列關於駭客入侵流程的順序,何者正確? (A)1,2, 3,4,5 (B)2,3,1,5, 4 (C)3,1, 2,5,4 (D)1,3,2,5,4。
47.下列關於系統發展生命週期(System Development Life Cycle, SDLC)的順序,何者正確? (A)1,2, 3,4,5 (B)1, 3,2,4, 5 (C)1,2, 3, 5,4 (D)1,2,4,3,5。
50.下列何者不是資料庫系統所具有的特性? (A)A (B)BEF (C)C (D)D。