阿摩線上測驗
登入
首頁
>
流體力學
> 103年 - 103 地方政府特種考試_三等_水利工程、環境工程、機械工程:流體力學#30792
103年 - 103 地方政府特種考試_三等_水利工程、環境工程、機械工程:流體力學#30792
科目:
流體力學 |
年份:
103年 |
選擇題數:
0 |
申論題數:
10
試卷資訊
所屬科目:
流體力學
選擇題 (0)
申論題 (10)
一、請試述下列名詞之意涵:(每小題 5 分,共 15 分) 雷諾數(Reynolds number)
巴斯卡定律(Pascal’s law)(請試述下列名詞之意涵)
阿基米德浮力原理(Archimedes’ principle)(請試述下列名詞之意涵)
【已刪除】二、都市寸土寸金,建築物皆往高空發展,因此都會區高樓林立,一摩天大樓(如下圖 所示)高 H=200 m,寬 W=100 m。假定該大樓迎風面之平均風速 10 m/s,空氣密度 為 1.2 kg/m
3
,阻力係數 Cd=1.2,請計算該大樓承迎風面受阻力 D?(10 分)
(一)該立方體物體之比重量?
若不施加向下力,該立方體浮出水面之高度 h?
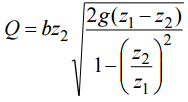
【已刪除】四、在水利工程或灌漑工程,經常需要簡便之流量量測設施。閘門則是在明渠(open channel)中一種簡便之流量量測設施,應用柏努力方程式與連續方程式推導,即可 使該簡便設施達到準確之流量量測。參閱下圖,請推導渠道出水流量 Q 與閘門前後 上下游水深 1 z 與 2 z 之關係式:
(20 分)
該招牌所承受之風力 F 為何?
風阻係數C
d
=F/(0.5pU
2
ref
A) 為何?
六、某一三維流場為穩定(steady)不可壓縮(incompressible),該流場之三個速度分 量 u、v 及 w,其中 u=x
2
+y
3
, v=x
2
y+yz 。若要滿足連續方程式(continuity equation),請計算速度分量 w。(15 分)