阿摩線上測驗
登入
首頁
>
機電防護與防火防爆
> 104年 - 104年升官機電防護與防火防爆#41709
104年 - 104年升官機電防護與防火防爆#41709
科目:
機電防護與防火防爆 |
年份:
104年 |
選擇題數:
0 |
申論題數:
4
試卷資訊
所屬科目:
機電防護與防火防爆
選擇題 (0)
申論題 (4)
一、緊急排放裝置中,和壓力疏解閥 (spring-operated valve)相比較,破裂盤(rupture disk) 的優、缺點分別為何?(25 分)
二、離心機械應裝置何安全裝置?其要求功能為何?使用時應注意什麼?(25 分)
【已刪除】三、異丙醇(IPA)為半導體光電產業常使用的有機溶劑。已知異丙醇的燃燒下限(LFL) 和燃燒上限(UFL)分別為 2.0% 和 12.0%,25℃的異丙醇由容器外洩出來,有沒有 火災爆炸的潛在危害?為什麼?(請詳細計算所需用到的火災爆炸性質,並比較說 明判定基準)其中,異丙醇的蒸氣壓 P
sat
(bar)與溫度 T(K)的關係如下: (25 分)
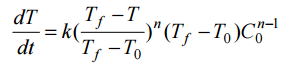
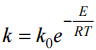
【已刪除】四、絕熱卡計常被用來模擬物質在絕熱狀況下反應失控過程的溫度、壓力變化。已知絕 熱條件下熱分解反應的自加熱速率為:
其中速率常數
T
0
和 T
f
分別為反應起始溫度(onset temperature)和反應最終溫度,C
0
為反應物熱分 解前的最初濃度。 給你一組反應失控時,溫度 T 對時間 t 的數據,已知反應級數 n =1,如何求出反應動 力學參數:頻率因子(frequency factor, k
0
)和活化能(activation energy, E)?(寫出 方法過程即可) (25 分) 提示:將原始方程式化簡為適合 n=1 的條件,再導出所需公式,並說明如何處理 數據。
相關試卷
114年 - 114 公務升官等考試_薦任_職業安全衛生:機電防護與防火防爆#133153
114年 · #133153
112年 - 112 地方政府特種考試_三等_職業安全衛生:機電防護與防火防爆#118127
112年 · #118127
112年 - 112 公務升官等考試_薦任_職業安全衛生:機電防護與防火防爆#117110
112年 · #117110
112年 - 112 高等考試_三級_職業安全衛生:機電防護與防火防爆#115219
112年 · #115219
111年 - 111 地方政府特種考試_三等_職業安全衛生:機電防護與防火防爆#112363
111年 · #112363
110年 - 110 地方政府特種考試_三等_職業安全衛生:機電防護與防火防爆#104644
110年 · #104644
110年 - 110 公務升官等考試_薦任_職業安全衛生:機電防護與防火防爆#103437
110年 · #103437
110年 - 110 高等考試_三級_職業安全衛生:機電防護與防火防爆#102537
110年 · #102537
109年 - 109 地方政府特種考試_三等_職業安全衛生:機電防護與防火防爆#94719
109年 · #94719
109年 - 109 高等考試_三級_職業安全衛生:機電防護與防火防爆#88598
109年 · #88598