阿摩線上測驗
登入
首頁
>
公職◆資料結構
> 104年 - 104年身障特考三等資料結構#42783
104年 - 104年身障特考三等資料結構#42783
科目:
公職◆資料結構 |
年份:
104年 |
選擇題數:
0 |
申論題數:
11
試卷資訊
所屬科目:
公職◆資料結構
選擇題 (0)
申論題 (11)
⑴ k = 100000; while ( k != 10){ k/=10; x = x + 1; }
⑵ for (i=1; i<=n; i++) { k=i+1; do { x=x+1; } while (k++ <= n); }
二、二維陣列 A(0:m-1,0:n-1),假設 A(3,2)在 1110,而 A(2,3)在 1115,若每個元素占一 個空間,請推導 A(1,4)所在的位址。(10 分)
三、若堆疊以陣列 st 儲存,請完成堆疊的插入演算法。(10 分) 其中相關宣告為 int st[0:MAX-1]; int top = -1;
【已刪除】
四、有一個 n*n 的矩陣 A 如圖(1)所示。其中在 i<j 時存有不同的資料,但 i≧j 時 aij=0,
試問:1.以最小化儲存空間為目標,宜採用何種方式儲存?(5 分)2.承上,需要
多少空間?(5 分)3.承上,若以行為主儲存,則在 i<j 時,請推導 aij 儲存的位
置。(5 分)
五、在一單向鏈結串列中,若節點的定義為: class Node{ public int data; public Node next; } 請寫出刪除指定節點 p 的演算法。(10 分) 註:假設第一個節點為開頭節點(head),不存放任何資料。
【已刪除】六、請寫出圖(2)所示二元樹的前序、中序和後序走訪。(6 分)
七、資料 20、30、10、50、60、40、45、5 ⑴請建立成一棵 AVL 樹,(6 分)⑵請依序 刪除 60 及 30,在推導過程需註明旋轉的類別。(6 分)
八、若採雜湊搜尋法中的移位折疊相加法,且 m=1000,請推導鍵值 x=123456789 的儲 存位址在那裡?(5 分)
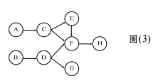
【已刪除】九、請推導圖(3)之拓撲排序。(10 分)
十、有一二維陣列 A(-1:5, -4:2)之啟始位址 A(-3,-4) = 100,以列為主排列,請問 A(1,1)所 在位址?(6 分)若以行為主排列,請問 A(1,1)所在位址又如何?(6 分)(假設陣 列內元素長度都為 1)