阿摩線上測驗
登入
首頁
>
通訊概論
> 104年 - 104 一般警察特種考試_二等_刑事警察人員電子偵察組:通訊概論#43026
104年 - 104 一般警察特種考試_二等_刑事警察人員電子偵察組:通訊概論#43026
科目:
通訊概論 |
年份:
104年 |
選擇題數:
0 |
申論題數:
10
試卷資訊
所屬科目:
通訊概論
選擇題 (0)
申論題 (10)
⑴請說明最佳化接收機之定義,並畫出最佳化接收機之方塊圖。(10 分)
【已刪除】 ⑵請寫出無記憶通道最佳化接收機觀測向量之似然函數( likelihood function ), f
, i = 1,2,3,4 , m
i
為對應
si
(t ) 之符元,
為觀測向量。(10 分)
⑴請用 DPSK 最佳化接收機之決策法則,描述最大似然法則。(10 分)
【已刪除】 ⑵請用 sinc 脈波
說明無失真基頻傳輸 Nyquist 法則。(10 分)
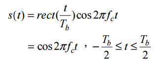
【已刪除】⑴請推導窄波射頻脈波信號 s(t)之頻譜,脈波寬度為 Tb 秒,載波頻率為 fc 赫兹(Hz)。 (10 分)
【已刪除】 ⑵請 推 導 信 號 g ( t ) 之功率頻譜密度函數與計算零點至零點頻寬
(10 分)
⑴請計算 QPSK 通訊系統之頻譜效率,並列出接收機觀測區間。(10 分)
⑵當訊雜比很大時,請計算 QPSK 平均符元錯誤率(symbol error rate)。(10 分)
⑴請建構具有最小變異量之哈夫曼碼,且計算此哈夫曼碼之平均碼長度,並證明其 為唯一的可解碼。(10 分)
⑵請計算平均碼長度。(10 分)
相關試卷
105年 - 105 一般警察特種考試_二等_刑事警察人員電子偵察組:通訊概論#53363
105年 · #53363
103年 - 103 一般警察特種考試_二等_刑事警察人員電子偵察組:通訊概論#43456
103年 · #43456
102年 - 102 一般警察特種考試_二等_刑事警察人員電子偵察組:通訊概論#44282
102年 · #44282
101年 - 101 一般警察特種考試_二等_刑事警察人員電子偵察組:通訊概論#44925
101年 · #44925
100年 - 100 一般警察特種考試_二等_刑事警察人員電子偵察組:通訊概論#45815
100年 · #45815