阿摩線上測驗
登入
首頁
>
國際經濟學
> 104年 - 104 公務升官等考試_薦任_經建行政:國際經濟學#41114
104年 - 104 公務升官等考試_薦任_經建行政:國際經濟學#41114
科目:
國際經濟學 |
年份:
104年 |
選擇題數:
0 |
申論題數:
4
試卷資訊
所屬科目:
國際經濟學
選擇題 (0)
申論題 (4)
【已刪除】一、假設有兩國(本國、外國)生產兩產品(C、F),產品之價格決定於世界市場,F 之 生產只須使用勞力(L),C 之生產除須使用勞力(L)外,還須使用一中間財(A), 如ܽα
xy
表示生產一單位 Y 產品所需之 X 投入之數量,兩國之生產技術如下:
則產品相對價格
在什麼範圍下,本國才具有生產(及出口)C 之條件?(24 分)
【已刪除】二、假設兩大國(例如中國及美國)分別是 X 產品(例如紡織品)之出口及進口國,其 函數分別為: P = Q 及 P = 80 − Q ,假設進口配額及出口自動設限之數量均為 30,請 將下表繪製於試卷上,並在計算之後將答案填入空格之中,最後判斷那一種貿易障 礙對進口國較有利?為什麼?(26 分)
三、中央銀行進行沖銷式外匯市場干預之目的為何?利用沖銷式干預以阻止新臺幣升值 時之效果如何?(24 分)
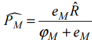
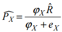
【已刪除】四、已知貶值有助於改善貿易收支之條件為:
出口品價格之變動率為:
進口品價格之變動率為:
貿易條件為:
其中:
e
X
= (本國對本國)輸出品之供給彈性
ϕ
X
= (外國對本國)輸出品之需求彈性
e
M
= (外國對本國)輸入品之供給彈性
ϕ
M
= (本國對本國)輸入品之需求彈性
且 e
X
、ϕ
X
、 e
M
、ϕ
M
均大於零 評析:當貶值有助於貿易收支之改善時,會使貿易條件亦得到改善之敘述是否正確。 (26 分)
相關試卷
114年 - 114 公務升官等考試_薦任_經建行政:國際經濟學#133054
114年 · #133054
114年 - 114 外交特種考試_三等_外交領事人員類科英文組一、外交領事人員類科法文組、外交領事人員類科德文組、外交領事人員類科日文組、外交領事人員類科西班牙文組、外交領事人員類科阿拉伯文組、外交領事人員類科義大利文組、外交領事人員類科葡萄牙文組:國際經濟#130941
114年 · #130941
114年 - 114 外交特種考試_三等_外交領事人員類科英文組二:國際經濟(以英文命題及作答)#130924
114年 · #130924
114年 - 114 國際經濟商務特種考試_三等_國際經濟商務人員類科國際經貿法律組:國際經濟學(國際貿易理論及實務、國際金融理論)#130836
114年 · #130836
114年 - 114 國際經濟商務特種考試_三等_國際經濟商務人員類科英文組、國際經濟商務人員類科日文組、國際經濟商務人員類科韓文組:國際經濟學(國際貿易理論及實務、國際金融理論)#130831
114年 · #130831
114年 - 114 國家安全情報特種考試_三等_國際組(選試英文):國際經濟學(含國際經貿組織)#127690
114年 · #127690
113年 - 113 國際經濟商務特種考試_三等_國際經濟商務人員類科英文組:國際經濟學(國際貿易理論及實務、國際金融理論)#122677
113年 · #122677
113年 - 113 外交特種考試_三等_外交領事人員類科英文組一、外交領事人員類科法文組、外交領事人員類科德文組、外交領事人員類科日文組、外交領事人員類科西班牙文組、外交領事人員類科阿拉伯文組、外交領事人員類科韓文組、外交領事人員類科俄文組、外交領事人員類科義大利文組、外交領事人員類科土耳其文組、外交領事人員類科葡萄牙文組:國際經濟#122654
113年 · #122654
113年 - 113 外交特種考試_三等_外交領事人員類科英文組二:國際經濟(以英文命題及作答)#122650
113年 · #122650
113年 - 113 國家安全情報特種考試_三等_國際組(選試英文):國際經濟學(含國際經貿組織)#120435
113年 · #120435