所屬科目:台水評價◆高中(職)物理化學
1.有關固體的密度之敘述,下列何者正確? (A)純物質的密度與質量成正比、與體積成反比 (B)純物質的密度與體積之乘積恆為一定值 (C)混合物(例如合金)的平均密度一定介於其成分的密度之間(D)純物質的密度恆為定值,與壓力、溫度無關
2.國際單位制是世界上最普遍的標準度量衡單位系統,採十進位。在1960年第十一屆國際度量衡大會通過,推薦各國統一採用。國際單位制的基本量共有七種,其中關於力學部分選擇「時間(秒)」、「質量(公斤)」、「長度(公尺)」這三種;熱學部分選擇「溫度(克耳文)」……,請問電磁學部分選擇哪一種物理量(單位)? (A)電流(安培)(B)電壓(伏特) (C)電量(庫侖)(D)磁場(特斯拉)
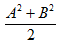
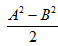
3.阿明在頂樓上作「鐵球的自由落體」實驗,他讓鐵球在距離地面高度為A處靜止釋放,阿華在地面上計時鐵球在空中飛行的時間為B。由此推算,若不計空氣阻力的情況下,鐵球在落地前瞬間的速率為下列哪一個選項?(A)(B)(C)(D)
4.在1583年的某日,伽利略在教堂禮拜時無意間觀察到,懸掛在天花板上的吊燈因風吹而微微晃動。他發現在吊燈擺動的過程中,每次擺動的時間約略相同。引發了伽利略的好奇:其他擺動是否與吊燈類似,擺動的時間跟吊燈擺幅有沒有關係?吊燈的重量會否影響擺動的時間?他繼續研究,而提出單擺的等時性理論。請問:在不考慮空氣阻力的情況下,影響單擺小角度擺動的週期除了擺長之外,還有下列哪一種物理量?(A)擺錘的質量(B)擺動的幅度(C)擺錘的密度(D)重力加速度
5.以現在的科學實驗技術(使用電子顯微鏡),我們可以觀察到的最小尺寸為下列哪一項? (A)一顆花粉粒 (B)一個病毒 (C)一顆原子(D)一顆夸克
6.已知冰的熔化熱為80卡/公克、水的汽化熱為540卡/公克。今欲將500公克、0 °C的冰塊加熱變成100 °C的水蒸氣,至少需要提供多少「大卡」的熱量? (A) 240大卡 (B) 360大卡(C)640大卡 (D)720大卡
7.某人以平均速率A公里/小時上山,並以平均速率B公里/小時沿原路徑下山,若此人上、下山來回全程的平均速度量值為X公里/小時、平均速率為Y公里/小時,則X ✖ Y為下列哪一個選項? (A)0 (B)(C)(D)A✕B
8.若金星和火星繞太陽的運轉週期分別為T1和T2;與太陽的平均距離分別為R1和R2。則下列關係式何者正確?(A) (B)(C)(D)
9.質量2.0公斤的木塊,靜置於水平桌面上,至少需要施3.0牛頓的水平拉力才可使其開始移動。若在木塊上加放質量為3.0公斤的鐵塊使鐵塊能固定貼住木塊而一起水平運動,則至少需要施多少牛頓的水平拉力? (A)4.5牛頓(B)5.0牛頓 (C)6.0牛頓 (D) 7.5牛頓
10.某理想彈簧的一端固定在牆壁上,另一端以拉力15.0牛頓拉之,測得彈簧的長度變為30.0公分;若以拉力30.0牛頓拉之,測得彈簧的長度變為35.0公分,若皆在理想彈簧的彈性限度內,求此彈簧的原長為多少公分? (A)27.5公分 (B)25.0公分(C) 22.5公分 (D)20.0公分
11.有關摩擦力量值與摩擦係數之敘述,下列何者正確? (A)動摩擦力的量值與接觸面積成正比 (B)相同的接觸面,靜摩擦力恆大於動摩擦力(C)當正向力量值愈大,靜摩擦係數也愈大(D)相同的接觸面,最大靜摩擦力與正向力量值成正比
12.如【圖12】所示,某物體從圖的光滑曲面自由下滑,假設Q點為部分圓形軌道之最低點,則當物體到達Q點瞬間,物體所受的合力方向為下列哪一個箭頭方向? (A)箭頭4 (B)箭頭3 (C)箭頭2 (D)箭頭1
13.鯨豚經由呼吸孔吸進空氣,在游動時呼吸孔會關閉起來,經由一連串複雜的「水管」系統作用,空氣在管內被來回壓縮、舒張,再加上震動的蓋口與共鳴的腔室,製造出極高頻率的聲音(超聲波),並由前額聚焦後發出。鯨豚製造出的超聲波向前方掃描魚群,當超聲波遇到魚群反彈而回,由鯨豚的下顎接收回音訊號並辨別定位。假設某鯨豚發射出超聲波脈衝後,於1.6秒後接收到在其前方1200公尺處的沙丁魚群反射而回的訊號,則聲波在海水中的傳遞速率約為多少公尺/秒? (A) 1500公尺/秒 (B) 1250公尺/秒(C)1000公尺/秒(D) 750公尺/秒
14.基本交互作用(Fundamental Interaction)為物質之間最基本的交互作用,常稱為自然界四力或宇宙基本力,分別為強作用力、弱作用力、萬有引力、電磁力四種。這四種自然界的基本力,何者作用的範圍最短? (A)強作用力 (B)弱作用力(C) 萬有引力 (D)電磁力
15.兩個空心鋁管與空心玻璃管,垂直地面懸吊在空中。在兩個空心管的正上方各有磁鐵棒甲與乙,同時在距地面高度h處靜止釋放,如【圖15】所示,若忽略空氣阻力,已知重力加速度為g,則兩支磁鐵棒的落地時間之(△ t)敘述,何者正確? (A) (B)(C)(D)
16.如【圖16】所示,在平面上有兩個單匝圓形線圈,若外線圈上通以逆時針方向的穩定電流,則內線圈上的電流方向為何? (A)順時針方向 (B)逆時針方向 (C)順時針與逆時針方向交替(D)沒有電流
17.某單調音聲波,在空氣中傳播速率為340公尺/秒,測得此單調音的波長為1.50公尺。當此單調音聲波通過界面進入另一介質後,波長變成6.75公尺,則聲波在該介質中的傳播速率為多少公尺/秒? (A) 1360公尺/秒 (B)1530公尺/秒(C)1650公尺/秒(D)1740公尺/秒
18.有紅光、綠光、藍光三種不同顏色的雷射光源,以相同的入射角度由水中射向空氣中,則在空氣中的折射角大小關係,下列何者正確? (A)紅光>綠光>藍光 (B)紅光=綠光=藍光 (C)綠光>藍光>紅光(D)藍光>綠光>紅光
19.西元1929年,科學家哈伯( E.P. Hubble )對星系作光譜攝影時,發現遙遠的星系在光譜上均呈現紅移的現象,即在視線方向上遠離我們而去,且距離愈遠的星系相對遠離的速率愈大,兩者之間呈正比的關係,稱為哈伯定律。下列敘述何者正確? (A)宇宙中物質分布均勻 (B)各星球遠離速度都相同 (C)宇宙正在收縮 (D)宇宙正在膨脹
20.在理想彈簧的彈性限度之內,某理想彈簧放置在光滑水平桌面上,一側緊靠牆面,另一側放置一小球,若移動小球將彈簧壓縮x後釋放,可將小球以K的動能彈出,則將彈簧壓縮量3x後釋放,小球彈出的動能為何? (A) 3K (B) 6K(C) 9K (D) 12K
21.某物體的質量為4公斤,以初動能50焦耳在光滑水平面上作直線運動。今受到與運動方向相同的外力作用,使物體運動的速率「增加3公尺/秒」,則外力對物體所作的功為多少焦耳? (A)30焦耳 (B)44焦耳 (C)65焦耳 (D)78焦耳
22.一物體(箭頭表示)置於凸面鏡前主軸上,且垂直於主軸,如【圖22】所示。F為凸面鏡的虛焦點,求圖中的光線L經凸面鏡反射後的路徑為下列何者? (A) A (B)B (C)C (D)D
23.小高利用假日騎乘自行車從埔里的台灣地理中心碑出發,一路沿著台14線經過霧社後,轉騎台14甲線至合歡山武嶺標高紀念亭。最辛苦的莫過於從昆陽休息站到武嶺紀念亭的最後3公里「自行車界天堂路」,平均坡度約為6~7%。小高希望能完成最後的爬坡,若此時自行車是以等速度前進,則關於一般的自行車前、後輪所受地面的摩擦力之敘述,下列何者正確? (A)前、後輪所受摩擦力的方向皆向前 (B)前、後輪所受摩擦力的方向皆向後 (C)前輪所受摩擦力的方向為向後、後輪所受摩擦力的方向為向前,且後輪的摩擦力大於前輪的摩擦力(D)前輪所受摩擦力的方向為向前、後輪所受摩擦力的方向為向後,且前輪的摩擦力大於後輪的摩擦力
24.根據波耳的「氫原子模型」理論,當中性的氫原子中電子由能階n=5的激發態,躍遷回基態(能階n=1)的過程中,最多可能放出(輻射出)幾條光譜線? (A)6條 (B)8條(C) 10條 (D)12條
25.已知A、B兩物體的質量分別為4kg與2kg,在碰撞前皆以3m/s的速率相向運動,若兩物體碰撞後合併黏在一起運動,則在碰撞過程中系統損失多少焦耳的力學能? (A)24焦耳 (B)20焦耳 (C)16焦耳 (D)12焦耳
29.在3.0克丙醇(C3H7OH)分子中,含有多少個氫原子?(原子量:H=1、C=12、O=16) (A)2.408×1023個 (B) 1.204×1023個 (C) 2.408×1024個 (D) 1.204×1024個
30.氯酸鉀固體加熱分解成氯化鉀固體與氧氣,今有5.0克氯酸鉀加熱後部分分解,分解後容器中剩餘的全部固體重量為4.52克,求氯酸鉀的分解百分率為多少%?(原子量:O=16、K=39、Cl=35.5) (A)10.5% (B) 16.5% (C) 24.5%(D)32.5%
31.在25℃下,32克的甲烷與30克的乙烷混合於一密閉容器中,總壓為600mmHg,求容器中乙烷分壓為多少mmHg?(原子量:H=1、C=12) (A)100 mmHg (B)200 mmHg(C)300 mmHg (D)400 mmHg
32.將2m葡萄糖水溶液1360g與1m葡萄糖水溶液2360g均勻混合後,濃度約為多少%?(原子量:H=1、C=12、O=16) (A)11.25% (B)19.35% (C) 24.15% (D)29.65%
33.將某固體鹽類溶於水時,下列哪一種做法可以改變溶解度的大小? (A)持續攪拌水溶液 (B)將鹽類研磨成更細的粉末(C)選取較大顆粒的鹽類 (D)改變水的溫度
34.於某一溶液中加入稀鹽酸後產生白色沉澱,若此溶液中只含有一種金屬陽離子,則此陽離子應為下列何者? (A)鈉離子(B)鎂離子(C) 銀離子 (D)鋇離子
35.在t℃時,水的離子積常數Kw=1.0×10-12,由以下各溶液提供的資料中,下列何者[ H+ ]+[ OH- ]的值最小? (A) pH=11 (B)pH=9 (C)pOH=7 (D)pOH=3
36.下列化合物中,何者氧原子的氧化數最大? (A) H2O2 (B) K2Cr2O7(C) K2O (D)OF2
37.有關氧化還原反應的敘述,下列何者錯誤? (A)稀硝酸與銅反應產生氣體,銅為還原劑(B)於過錳酸鉀的氧化還原滴定實驗中,欲將錐形瓶中的未知濃度溶液酸化,選用鹽酸當作酸化之來源最適合(C)3Cl2 + 6OH- → ClO3- + 5Cl- + 3H2O屬於自身氧化還原反應(D)草酸鈉標定過錳酸鉀濃度時,過錳酸鉀為氧化劑,亦可作為指示劑
38.硫酸為化學實驗室常見的強酸,有關硫酸的敘述,下列何者錯誤? (A)硫酸分子中,硫的氧化數是+6 (B)接觸法製硫酸可用V2O5當作催化劑(C)硫酸根是以硫原子為中心的平面四邊形 (D)利用濃硫酸的高沸點,可製備沸點較低的HCl或HNO3
39.下列濃度皆為0.1M的水溶液,何者顏色正確? (A) KMnO4:綠色 (B) Na2S2O3:紅色 (C) K2CrO4:黃色(D) KNO3:藍色
40.錯合物Na3[Fe(C2O4)3],其中心金屬氧化數及配位數分別為多少?(A)氧化數=+2,配位數=3 (B)氧化數=+2,配位數=6(C)氧化數=+3,配位數=3 (D)氧化數=+3,配位數=6
41.在25℃時的水溶液,下列何者滲透壓最高? (A) 0.02M氯化鈉 (B)0.01M氯化鈣(C)0.02M醋酸 (D)0.02M葡萄糖
42.於平衡系Fe3+(aq) + SCN-(aq) FeSCN2+(aq)中,加入純水,下列敘述何者正確? (A)平衡向右移動 (B)平衡不移動 (C)達新平衡時,血紅色顏色加深 (D)達新平衡時,鐵離子濃度減少
43.某平衡系aA(g) + bB(g) cC(g) + dD(g)為放熱反應,a、b、c、d為係數,K為平衡常數,k1與k2分別為正、逆反應之速率常數,則下列敘述何者正確? (A)平衡系中加入催化劑,K、k1與k2均變大 (B) 升高平衡系溫度,K與k2變小,k1變大(C)升高平衡系溫度,K、k1與k2均變大(D)降低平衡系溫度,K變大,k1與k2均變小
44.定溫下,0.4M的A(aq) 與0.6M的B(aq) 等體積混合,A(aq) + 2B(aq) 2C(aq) + D(aq),反應達平衡後,[C]=0.2M,求平衡常數為多少? (A) 2 (B)4 (C) 6 (D)8
45.已知鉻酸銀在0.1M的硝酸銀溶液中溶解度為4.0×10-10M,求鉻酸銀於純水中的溶解度為多少g/L?(原子量:O=16、Cr=52、Ag=108) (A)0.0332 g/L (B) 0.0994 g/L(C)0.1022 g/L (D)0.2044 g/L
46.將0.2mol弱酸HA與0.1mol的NaOH混合後加水稀釋至總體積1L,若溶液pH=4.7,求此弱酸的Ka為多少?(log2=0.3、log3=0.5、log5=0.7) (A)3×10-5 (B)3×10-6 (C)2×10-5 (D)2×10-6
47.有關化學鍵極性與分子極性的敘述,下列何者正確? (A)氧氣具有非極性共價鍵,為極性分子 (B)二氧化碳具有極性共價鍵,為極性分子 (C)二氯甲烷具有極性共價鍵,為非極性分子 (D)四氯化碳具有極性共價鍵,為非極性分子
48.以不同的電極電解水溶液時,下列何者陰、陽極所產生的產物與其他三者不同? (A)銅片為陽極,石墨棒為陰極,電解氫氧化鈉水溶液(B)石墨棒為陽極,銅片為陰極,電解硫酸水溶液 (C)鉑為陽極,石墨棒為陰極,電解硫酸鈉水溶液(D)陽極與陰極皆為石墨棒,電解硝酸鉀水溶液
49.有關各種有機酸的敘述,下列何者錯誤? (A)乙二酸具有還原性,會與強氧化劑反應(B)柳酸可與乙酐進行酯化反應,生成乙醯柳酸(C)柳酸具有分子內氫鍵 (D) 2-甲基丙酸與乙酸異丙酯互為同分異構物
50.下列物質中,何者不具有醯胺鍵? (A)耐綸66(B)蛋白質(C)乙醯胺苯(D)纖維素