阿摩線上測驗
登入
首頁
>
工程數學(應用數學, 線性代數、微分方程、複變函數與機率)
> 104年 - 104 國家安全情報特種考試_三等_電子組:工程數學#34470
104年 - 104 國家安全情報特種考試_三等_電子組:工程數學#34470
科目:
工程數學(應用數學, 線性代數、微分方程、複變函數與機率) |
年份:
104年 |
選擇題數:
20 |
申論題數:
4
試卷資訊
所屬科目:
工程數學(應用數學, 線性代數、微分方程、複變函數與機率)
選擇題 (20)
1 若一曲線 C 的位置函數為 F(t) = (cos(t) + tsin(t)) + (sin(t) − tcos(t))
j
+
t
2
k
,其中t > 0,其速率為何? (A)tcos(t)
i
− tsin(t)
j
+ 4t
k
(B)tcos(t)
i
+ tsin(t)
j
+ 4t
k
(C)
(D) 17t
2
2 令向量函數F = [−y, x],曲線 C 為從(1, 0) 到(−1, 0) 的半圓,則線積分
之值為何? (A)3π /2 (B)π (C)3π/ 4 (D) 2π/ 3
3 若u =x
2
y ,∇
2
u 等於: (A) y (B) 2y (C) 2xy (D) 2x
4 曲線 C 的參數表示式為 x = cos(t) ; y = sin(t) ; z = t ,則曲線 C 從 P1=(1, 0, 0) 到 P2 = ( −1, 0, π) 弧線長(arc length)為何? (A)
(B) 2π (C)
(D)(1+π
2
)
3/2
-1
5 當矩陣
,求 A 之特徵值為多少? (A) 2, 3 (B) − 2, 3 (C) − 2, −3 (D) 2, −3
6 設矩陣
,則A
3
-2A
2
-A 為何? (A) 0 (B) 2A (C)3A (D)− 3A
7 當有一矩陣
時,試求 A 矩陣的行列式值為何? (A) 67 (B) 84 (C) 86 (D) 90
8 複變函數
在 z = 2i 的留數(residue)為何?其中
。 (A)
cosh(1) (B)
sinh(1) (C)cosh(1) (D)sinh(1)
9 假設 C 為沿著逆時針方向繞圓周│ z − 2│ = 2 ,試求積分
為何? (A)πi (B) 0 (C) − πi (D) 2πi
10 計算 (1+ i)
3
的值為何? (A) i
3
−3i
2
+3t-1 (B) i
3
+ (C)2i − 2 (D)2i + 4
11 下列何者為一維擴散方程式
之解的函數?其中 c 為一適當的常數。 (A)u = sin2t cos4x (B)u= e
t
cos25 x (C)u = cos4tsin2x (D)u =e
-1
sin x
12 請問下列何者為(1+ x)y′′ − 4xy′ + y = 0 之奇點(singular point)? (A) 0 (B) −1 (C) 1 (D)− 2
13 已知
,求 f (t) 的傅立葉積分表示法。 (A)
(B)
(C)
(D)
14 當 m ≠ n 時,下列有關三角正弦與餘弦函數的正交特質(orthogonality),何者錯誤? (A)
(B)
π (C)
(D)
15 一微分方程式(1-x
2
) y′′ −2 xy′ + n( n +1) y =0 被稱為勒見德方程式(Legendre’s equation),其中 n 為實數,則下列何者不為該方程 式的解 P (x) n ? (A) P0 (x) = 1(B) P
1
(x) = x (C)
(D)
16 求(1− t)u(1− t)之拉普拉斯轉換(Laplace transform),其中u(t) 為單位步階函數。 (A)
(B)
(C)
(D)
17 連續隨機變數 X 與 Y 之結合機率密度函數(joint probability density function)為
。已知 x > 0 ,試求條件期望值 E[Y
2
|
X = x] 。 (A)
(B)
(C)
(D)
18 有 1 打雞蛋(其中有 4 顆雞蛋並未煮熟),從中隨機取出 2 顆雞蛋,試問這 2 顆雞蛋為全熟之機率為何? (A)
(B)
(C)
(D)
19 假設從一般的 52 張撲克牌中連續抽取 3 張牌,且所抽取的每張牌都不放回。假設 D 表示第 1 張牌是紅色 A 的事件,E 表示第 2 張牌是 10 或是 J 的事件,F 表示第 3 張牌是大於 3 但是小於 7 的事件。請問事件 D
E
F 會發生的機率為何? (A) 8/5525 (B) 12/5525 (C) 16/5525 (D) 24/5525
20 令
,下列何者為矩陣 A 的零空間(null space)基底向量(basis)? (A)
(B)
(C)
(D)
申論題 (4)
【已刪除】一、試利用拉普拉斯轉換(Laplace transform)解微分方程式 y"+2 y'+4 y=7 e
-3t
, y(0) = y′ (0) =1,其中
。(15 分)
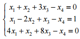
【已刪除】二、求下列聯立方程式:
之解。(10 分)
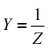
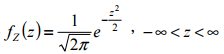
【已刪除】三、令 Z 為一標準常態分布隨機變數(standard normal random variable),其機率密度函數(probability density function)為
,試求隨機變數
之機率密度函數。(10 分)
【已刪除】四、令∑ 是以 (0,0,0) , (0,1,0) , (1,0,0) , (0,0,1) , (1,1,0) , (1,0,1) , (1,1,1) ,( 0,1,1) 為頂點之正立方體的表面,若
n
為∑ 之向 外單位法向量,且
F
=x
2
i
+ y
2
j
+ z
2
k
,求
。(15 分)
相關試卷
114年 - 114 專技高考_電機工程技師:工程數學(包括線性代數、微分方程、複變函數與機率)#133679
114年 · #133679
114年 - 114 專技高考_電子工程技師:工程數學(包括線性代數、微分方程、向量分析、複變函數與機率)#133677
114年 · #133677
114年 - 114 調查特種考試_三等_電子科學組:工程數學#129578
114年 · #129578
114年 - 114 國家安全情報特種考試_三等_電子組(選試英文):工程數學#127780
114年 · #127780
113年 - 113 專技高考_電子工程技師:工程數學(包括線性代數、微分方程、向量分析、複變函數與機率)#123976
113年 · #123976
113年 - 113 專技高考_電機工程技師:工程數學(包括線性代數、微分方程、複變函數與機率)#123971
113年 · #123971
113年 - 113 調查特種考試_三等_電子科學組:工程數學#122110
113年 · #122110
113年 - 113 身心障礙特種考試_三等_電力工程:工程數學#119517
113年 · #119517
112年 - 112 地方政府特種考試_三等_電力工程、電子工程:工程數學#118376
112年 · #118376
112年 - 112 專技高考_電機工程技師:工程數學(包括線性代數、微分方程、複變函數與機率)#117639
112年 · #117639