所屬科目:研究所、轉學考(插大)-微積分
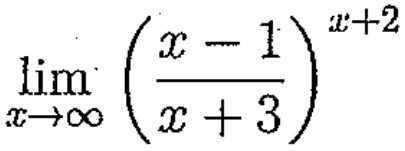
(a) (6 points)
(b) (6 points)
(c) (6 points)
3. (10 points)If , find the partial derivatives
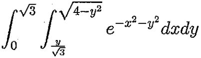
4. (10 points)Evaluate
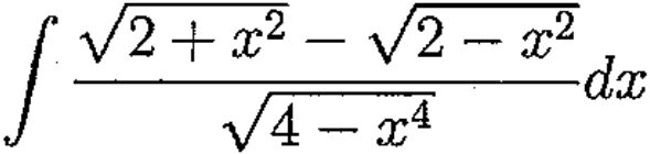
5. (10 points)Find the derivative of the function simplify where possible.
6. (10 points)Find the area of the polar region R, where R is bounded by the smaller loop of the curve r = 1 + 2cosθ.
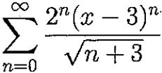
7. (10 points)Find the interval of convergence of the series. Then identify the values of x for which the series converges absolutely or conditionally.