阿摩線上測驗
登入
首頁
>
有機化學
> 104年 - 104 地方政府特種考試_三等_化學工程:有機化學#35431
104年 - 104 地方政府特種考試_三等_化學工程:有機化學#35431
科目:
有機化學 |
年份:
104年 |
選擇題數:
0 |
申論題數:
24
試卷資訊
所屬科目:
有機化學
選擇題 (0)
申論題 (24)
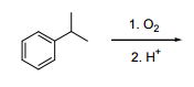
【已刪除】⑴
【已刪除】⑵
【已刪除】⑶
【已刪除】⑷
【已刪除】⑸
【已刪除】⑹
【已刪除】⑺
【已刪除】(8)
【已刪除】(9)
【已刪除】(10)
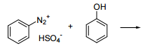
【已刪除】⑴
【已刪除】⑵
【已刪除】⑶
【已刪除】⑷
【已刪除】⑸
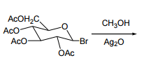
【已刪除】⑴
【已刪除】⑵
【已刪除】⑶
【已刪除】⑴
【已刪除】⑵
【已刪除】⑴青蒿素之結構如下所示,請重畫於作答試卷上,並指出其構造式中所有 S 組態的 掌性碳(chiral carbon)。(6 分)
⑵若現有 100 mg 青蒿素溶於 10 mL 之氯仿,置於 1.0 cm 長之樣品槽中測得其旋光度 (observed rotation)為+0.068°,試計算青蒿素之對掌異構物之比旋光度(specific rotation)[α]D
25℃
(請寫出公式並計算過程)。(3 分)
⑶假設現自中藥黃花蒿中萃取出之青蒿素及其對掌異構物混合物比旋光度
[α]D
25℃ 為 -22.67°,試計算此混合物之對掌異構過量百分比(enantiomeric excess%, ee%)。(2 分) 又,此混合物中青蒿素及其對掌異構物各存在之莫耳百分比為何?(請寫出計算 過程)(4 分)
六、依據下列資料,推測其化學結構式。(10 分) 分子式C10H12O2 ;氫核磁共振光譜(
1
H NMR) δ 7.86(d, J= 8.4 Hz, 2H), 7.07(d, J= 8.4 Hz, 2H), 3.83(s, 3H), 3.54(q, J= 6.9 Hz, 2H), 1.18(t, J= 6.9 Hz, 3H)。碳核磁共振光譜 (
13
C NMR)δ 200.1, 165.0, 129.8, 129.0, 114.2, 55.8, 31.7, 8.4。
相關試卷
115年 - 115 關務特種考試_三等_化學工程(選試英文):有機化學#138982
115年 · #138982
115年 - 115 關務特種考試_四等_化學工程(選試英文):有機化學概要#138903
115年 · #138903
114年 - 114 公務升官等考試_薦任_化學工程:有機化學#133257
114年 · #133257
114年 - 114 調查特種考試_三等_化學鑑識組、醫學鑑識組:有機化學#129586
114年 · #129586
114年 - 114 一般警察特種考試_二等_刑事鑑識人員材料及化學物品鑑析組:有機化學#127790
114年 · #127790
114年 - 114 關務特種考試_三等_化學工程(選試英文):有機化學#126661
114年 · #126661
114年 - 114 關務特種考試_四等_化學工程(選試英文):有機化學概要#126655
114年 · #126655
113年 - 113 調查特種考試_三等_化學鑑識組、醫學鑑識組:有機化學#122084
113年 · #122084
113年 - 113 關務特種考試_三等_化學工程(選試英文):有機化學#119488
113年 · #119488
113年 - 113 關務特種考試_四等_化學工程(選試英文)、化學工程(選試日文):有機化學概要#119484
113年 · #119484