阿摩線上測驗
登入
首頁
>
漁具學
> 104年 - 104 地方政府特種考試_三等_漁業技術:漁具學#35145
104年 - 104 地方政府特種考試_三等_漁業技術:漁具學#35145
科目:
漁具學 |
年份:
104年 |
選擇題數:
0 |
申論題數:
8
試卷資訊
所屬科目:
漁具學
選擇題 (0)
申論題 (8)
一、試詳述單船底拖網漁具構造,以及國內外所採用之幼魚及下雜魚的排除裝置設計 (Juvenile and trash excluder device, JTED)。(20 分)
【已刪除】二、請試述鰹鮪圍網船主要漁撈設施配備及標識出其主要漁撈機械配置情形。(20 分)
【已刪除】三、請試述大型鮪延繩釣船的主要漁撈機械及其主要漁撈機制配置情形。(20 分)
四、何謂伸長度?並說明網線耐磨性。(15 分)
⑴模型之網目大小為多少?(5 分)
⑵其速度比為多少?(8 分)
⑶模型實驗求得網具之曳力(Rm)與流速(v)之關係如下: R
m
= 1.33 v
1.44
,求原型 網具 R 與 v 之關係?(7 分)
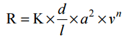
【已刪除】⑷如果網具之抵抗可用下列關係式來表示:
,d 為網線的直徑 (cm),݈為網目一腳之長(cm),a 為網地平面展開時的最大幅度(m),設網具之 最大幅度 a =20 m,求 K 值?(5 分)
相關試卷
113年 - 113 專技高考_漁撈技師:漁具學(包括漁業儀器)#123838
113年 · #123838
112年 - 112 高等考試_三級_漁業技術:漁具學#115568
112年 · #115568
111年 - 111 地方政府特種考試_三等_漁業技術:漁具學#112442
111年 · #112442
111年 - 111 專技高考_漁撈技師:漁具學(包括漁業儀器)#111831
111年 · #111831
111年 - 111 高等考試_三級_漁業技術:漁具學#109570
111年 · #109570
110年 - 110 高等考試_三級_漁業技術:漁具學#102719
110年 · #102719
109年 - 109 專技高考_漁撈技師:漁具學(包括漁業儀器)#93257
109年 · #93257
109年 - 109 高等考試_三級_漁業技術:漁具學#88708
109年 · #88708
108年 - 108 地方政府特種考試_三等_漁業技術:漁具學#81266
108年 · #81266
108年 - 108 高等考試_三級_漁業技術:漁具學#77717
108年 · #77717