阿摩線上測驗
登入
首頁
>
地震學
> 104年 - 104 普通考試_地震測報:地震學概要#42831
104年 - 104 普通考試_地震測報:地震學概要#42831
科目:
地震學 |
年份:
104年 |
選擇題數:
0 |
申論題數:
5
試卷資訊
所屬科目:
地震學
選擇題 (0)
申論題 (5)
【已刪除】一、下圖是某一測站的 P 波位移頻譜圖,請由頻譜圖中說明兩項與震源性質相關的參數。 (20 分)
二、在一垂直分量的震波圖上可清楚辨識 P 波、S 波及表面波,請說明 P 波質點振動的 特性,又為何 P 波總是最先到達地震測站,但其振幅總是最小,請說明之。(20 分)
三、地震學家可藉由體波及表面波推估地球內部的速度構造,其中表面波頻散是推求地 殼及上部地函 S 波速度構造的重要資料,請說明通過大陸地區及海洋地區的雷利波 群速頻散曲線有何差異?其反應地下構造的何種變化?(20 分)
四、量度地震尺度大小有各種規模,而臺灣地區不同單位發布不同的地震規模,請舉出 現今臺灣地區發布地震時最常見的地震規模,並說明其如何求得。(20 分)
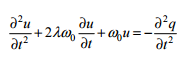
【已刪除】五、下式是地震儀基本原理方程式,其中 u 為地震儀內重物與地震儀基座的相對位移, q 為地動位移, λ 是阻尼因子, ω
0
是自然角頻率,請說明為何 λ 及 ω
0
是地震儀設計 中重要的參數?(20 分)
相關試卷
113年 - 113 高等考試_三級_地震測報:地震學#121177
113年 · #121177
113年 - 113 普通考試_地震測報:地震學概要#121120
113年 · #121120
110年 - 110 普通考試_地震測報:地震學概要#102212
110年 · #102212
109年 - 109 普通考試_地震測報:地震學概要#88448
109年 · #88448
108年 - 108 普通考試_地震測報:地震學概要#77581
108年 · #77581
107年 - 107 普通考試_地震測報:地震學概要#70633
107年 · #70633
103年 - 103 普通考試_地震測報:地震學概要#43497
103年 · #43497
102年 - 102 普通考試_地震測報:地震學概要#44402
102年 · #44402
102年 - 102 高等考試_三級_地震測報:地震學#44263
102年 · #44263
100年 - 100 普通考試_地震測報:地震學概要#45956
100年 · #45956