阿摩線上測驗
登入
首頁
>
研究所、轉學考(插大)-流體力學
> 104年 - 104 淡江大學 轉學考 流體力學#53150
104年 - 104 淡江大學 轉學考 流體力學#53150
科目:
研究所、轉學考(插大)-流體力學 |
年份:
104年 |
選擇題數:
0 |
申論題數:
6
試卷資訊
所屬科目:
研究所、轉學考(插大)-流體力學
選擇題 (0)
申論題 (6)
1. (20)Consider the flow field given by φ— ax
2
— ay
2
, where a = 3s
-1
. Show that the flow is irrotational. Determine the velocity potential for this flow.
【已刪除】2. (20)The shaded area shown is in a flow where the velocity field is given by
,and the coordinates are measured in meters. Evaluate the volume flow rate and the momentum flux through the shaded area.
【已刪除】3. (20)0il flows steadily in a thin layer down an inclined plane. The velocity profile is
Express the mass flow rate per unit width in terms of p,u, g,θ, and h .
(a) find f(r) if flow is a free vortex
(b) find f(r) if the flow is a forced vortex
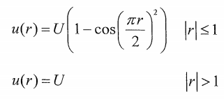
【已刪除】5. (20)The horizontal velocity in the wake behind an object in an air stream of velocity U is given by
where r is the non-dimensional radial coordinate, measured perpendicular to the flow. Find an expression for the drag on the object.
相關試卷
110年 - 110 國立臺灣大學_碩士班招生考試_土木工程研究所水利工程組(一般生)、土木系水利組(在職生):流體力學(C)#125259
110年 · #125259
110年 - 110 國立臺灣大學_碩士班招生考試_部分系所:流體力學(D)#105721
110年 · #105721
110年 - 110 國立中央大學_碩士班招生考試_大氣科學學系大氣物理:流體力學#105489
110年 · #105489
110年 - 110 國立清華大學碩士班考試入學試題_工程與系統科學系/乙組:流體力學#104987
110年 · #104987
110年 - 110 國立中山大學_碩士暨碩士專班招生考試_海科系碩士班選考:流體力學#104399
110年 · #104399
110年 - 110 國立中央大學_碩士班招生考試_土木工程學系/水資源工程組(一般生):流體力學#103900
110年 · #103900
110年 - 110 國立中央大學_碩士班招生考試_環境工程研究所/乙組(一般生):流體力學#103842
110年 · #103842
110年 - 110 國立臺灣大學_碩士班招生考試_海洋所物理與化學與地物組(3組聯招):流體力學(H)#100948
110年 · #100948
110年 - 110 國立臺灣大學_碩士班招生考試_部分系所:流體力學(F)#100938
110年 · #100938
110年 - 110 國立臺灣大學_碩士班招生考試_應用力學研究所乙組:流體力學(A)#100922
110年 · #100922