阿摩線上測驗
登入
首頁
>
轉學考-離散數學
> 104年 - 104 淡江大學 轉學考 離散數學#53526
104年 - 104 淡江大學 轉學考 離散數學#53526
科目:
轉學考-離散數學 |
年份:
104年 |
選擇題數:
0 |
申論題數:
11
試卷資訊
所屬科目:
轉學考-離散數學
選擇題 (0)
申論題 (11)
【已刪除】(a)
【已刪除】(b) Give a general formula to find
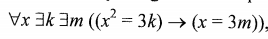
【已刪除】2. Prove that every integer whose square is a multiple of 3 must divide by 3; i.e.,
where x, k, and m are integers. (20%) (Hint: prove by contraposition is must easier.)
【已刪除】3. Find the solution to the following recurrence relation and initial condition:
(a) Find a recurrence relation for the number of bit strings of length n that contains two consecutive Os. (10%)
(b) What are the initial conditions? (5%)
(c) How many bit strings of length ten contain two consecutive Os. Use the above recurrence relation in (a) and (b) to solve it. (5%)
5. Let f {x) = ax + b and g(x) = cx + d, where a, b, c, and d are constants. Determine necessary and sufficient conditions on the constants a ,b, c, and d so that/。g = g。/ (10%)
(a) Represent the relation Rby a matrix. (4%)
(b) Draw a directed graph to represent R. (4%)
(c) Show what properties are satisfied by R. (2%)
相關試卷
103年 - 103 淡江大學 轉學考 離散數學#55464
103年 · #55464
99年 - 99 淡江大學 轉學考 離散數學#55471
99年 · #55471
97年 - 97 淡江大學 轉學考 離散數學#55809
97年 · #55809
95年 - 95 淡江大學 轉學考 離散數學#56110
95年 · #56110