所屬科目:國營事業◆1.化工熱力學 2.化學反應工程學
1. 兩種理想溶液在一定溫度、壓力下,混合成均勻溶液,下列敘述何者正確? (A)混合之焓變化()等於0(B)混合之自由能變化(Δ) 等於0 (C)混合會有熱變化 (D)混合會有體積變化
2. 0.4莫耳理想氣體A與0.6莫耳理想氣體B,在一定溫度、壓力下混合,其混合自由能變化 (Δ 之計算式為何?( :莫耳數; :莫耳分率) (A) (B) (C) (D)
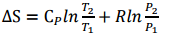
5. 1莫耳理想氣體從溫度T1變化至T2,壓力P1變化至P2,其熵變化之計算式,何者正確? (A) (B) (C) (D)
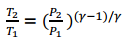
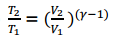
12. 理想氣體經可逆絕熱過程,從溫度T1變化至T2,壓力P1變化至P2,體積V1變化至V2,其TPV 之關係式,何者有誤? (A) (B) (C) (D)
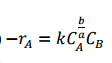
13. 有一化學反應式a A + b B → c C + d D,a、b、 c、d是化學計量係數,已知A反應速率為 ,若上列反應式一同除以a,即反應式變為A + b/a B → c/a C + d/a D,則A反應 速率式變為下列哪一項? (A) (B) (C) (D)
16. 阿瑞尼亞士反應式(Arrhenius equation)為 ∙ ,式中ko 與下列那項最有直接關係? (Ea:活化能、R:氣體常數、T:溫度) (A)反應時間 (B)反應物濃度 (C)反應物的碰撞頻率和方向 (D)活化能