所屬科目:捷運◆電腦概論
1. 在個人合計時數, G3 之公式應為? (A)=add(B3:F3) (B)=SUM(B3:F3) (C)=total(B3 to F3) (D)=sigma(B3:F3)。
2. 在個人加班天數, H3 之公式應為? (A)=if(B3:F3>1,+1) (B)=Range(B3: F3,if(>1)) (C)=COUNT(B3 to F3,>1) (D)=COUNTIF(B3:F3,$G$1)。
3. 在個人本週加班費, I3 之公式應為? (A)=G3*200 (B)=H3*200 (C)=MIN(G3,12)*200 (D)=sigma(B3:F3)*200。
4. 在週一平均加班時數, B18 之公式應為? (A)=AVG(B3:B17) (B)=AVERAGE(B3:B17) (C)=Mean(B3 to B17) (D)=sigma(B3:F3)/5。
5. 在週一加班累計時數, B19 之公式應為? (A)=SUM(B3:B17) (B)=add(B3:B17) (C)=total(B3 to B17) (D)=sigma(B3:B17)。
6. 在週一加班時數最大值, B20 之公式應為? (A)=most(B3:B17) (B)=best(B3:B17) (C)=maximum(B3 to B17) (D)=max(B3:B17)。
7. 在週一加班時數標準差, B21 之公式應為? (A)=var(B3:B17)/12 (B)=var(B3 to B17) (C)=stdev(B3:B17) (D)=dev(B3 to B17)。
8. 要將 G18 之小數點調為三位數,應按?
(A)(B)(C)(D)
9. 下列何者為試算表儲存格之絕對位址? (A)G1 (B)$H10 (C)E$18 (D)$K$21。
10. 下列何者是 CPU 內部元件? (A) BIOS (B)ROM (C)暫存器(register) (D)南橋。
11. 在電腦硬體規格中「Intel® i7-4790S Processor (8M Cache, up to 4.00 GHz)」的 4.00 GHz 是代表? (A) CPU 的時脈頻率 (B)I/O 的速率 (C) 網路的速率 (D)影像顯示的 頻率。
12. 關於 USB 之敘述,下列何者有誤? (A)連接電腦系統與外部裝置的一種串列埠匯流排標準 (B)一種輸入 輸出介面的技術規範 (C)USB 3.1 傳輸速度為 5Gb/s (D)被廣泛地應用 於個人電腦和行動裝置等訊息通訊產品。
13. 關於創用 CC 之敘述,下列何者有誤? 此圖 (A)可循環分享(B) 表示非商業性 (C) 表示姓名標示(D) 可呈現於公 開網站之文件上。
14. 有關 TCP 及 UDP 的敘述,下列何者正確? (A)TCP 無法確認一個訊息是否被目的地電腦正確收到 (B)UDP 擁有封 包重傳機制 (C)UDP 無法保證資料在限定時間內傳送 (D)UDP 擁有壅 塞控制機制。
15. 有關網址的敘述,下列何者正確? (A)IPv6 網址長度為 48 bytes (B)localhost 網址為 192.163.10.10 (C)163.210.210.265 不是 IPv4 之正確網址 (D)255.255.255.0 不是合 法子網路遮罩。
16. 有關電子郵件(e-mail)的敘述,下列何者正確? (A)P2P 是處理外寄電子郵件的協定 (B)SMTP 伺服器處理外寄的電子 郵件,且可以和 POP3 伺服器一起使用 (C)SMTP 提供使用者下載郵件 做離線郵件瀏覽 (D)POP3 server 無法提供使用者下載郵件做離線郵 件瀏覽。
17. 關於電腦硬體,下列敘述何者錯誤? (A)ROM 是唯讀記憶體 (B)Cache 存取速度比 RAM 快 (C)RAM 是揮發性 記憶體 (D)SATA 是並列式介面。
18. 關於進位轉換及減法計算:(1101)2-(11)8= ,K 等於 (A)1 (B)2 (C)4 (D)10。
19. 關於位元邏輯運算:(1011)2 and (0110)2=(X)2,X 等於 (A)0010 (B)0101 (C)1111 (D)1101。
20. 關於位元邏輯運算:(1001) OR (1011)2=(S)8,S 等於 (A)24 (B)20 (C)13 (D)11。
21. 以 4 bits 為單位,求的 1 補數=? (A)(6)8 (B)(1010)2 (C) (D)。
22. 下列何者不是應用軟體? (A)Fedora (B)MS-Excel (C)Adobe photoshop (D)Moviemaker。
23. 下列何者不是作業系統? (A)iOS (B)Unix (C)Ubuntu (D)Photoshop。
24. 下列何者不是輸入單元? (A)鍵盤 (B)滑鼠 (C)掃描器 (D)Switch。
25. 下列何者不是 CPU 內部的匯流排? (A)串列匯流排 (B)控制匯流排 (C)資料匯流排 (D)位址匯流排。
26. 下列何者屬於揮發性記憶材料? (A)CD-R (B)Tape (C)ROM (D)RAM。
27. 用平板電腦掃描下列哪一種碼(code)可連上網際網路? (A)Bar code (B)QR code (C)Huffman code (D)Big-5 code。
28. 下列何者用於使用者瀏覽網頁時作為網頁快取(cache)及內容過濾? (A) Router (B)repeater (C)switch (D)proxy server。
29. 電腦 CPU 可直接執行的程式語言是? (A)自然語言 (B)高階語言 (C)組合語言 (D)機器語言。
30. 下列何者是無線網路的通訊協定? (A)802.3 (B)CSMA/CD (C)802.11ac (D)Token-ring。
31. 若有 n 筆資料要進行排序,且採用 merge sort,則在最佳情形(Best case),其時間複雜度為? (A)n3 (B)n2 (C)n*(lg n) (D)n。
32. 下列何者不是 web server? (A) Exchange Server (B)Apache (C)Apache+Tomcat (D)IIS。
33. 在關聯式(relational database)資料庫,用以修改資料錄之 SQL 命令 為? (A)modify (B)revise (C)correct (D)update。
34. 下列哪一種資料結構具有先進後出的特性? (A)佇列(Queue) (B)二元樹 (C)連結串列 (D)堆疊(stack)。
35. 負責將網路領域名稱和 IP 網址相互轉換解析的伺服器是? (A)proxy server (B)DNS server (C)SSL (D)FTP server。
36. 下列何者可在網頁上顯現圖片檔案內容? (A)<show src=mrt.gif> (B)<img src= mrt.gif > (C)<output href= mrt.gif > (D)<pic href= mrt.gif >。
37. 關於 HTML 5 之敘述,下列何者正確? (A)HTML5 包含 CSS、Javascript (B)一些過時的 HTML 4 標記被取消, 且以 java 取代 (C)表單輸入類型將 color、range 等刪除 (D) 增加多 樣化的 API(應用程式介面)如即時三維繪圖(Canvas API)。
38. 關於 UNIX-based 系統操作,下列何者命令用於列出一個文字檔的內 容? (A)more (B)ps (C)system.out.print (D)dump。
39. TCP 最多許可埠(ports)數為? (A)254 (B)1024 (C)32767 (D)65536。
40. 在 MS-Word 中,欲使圖片位置及大小完全不影響版面上的文字與段落,可於圖片格式中設定文繞圖為? (A) 與文字排列 (B) 矩形 (C) 文字在前 (D) 穿透。
41. 在 MS-Word 中,置中對齊的定位點設定完成後,在尺規上會出現何種 定位點符號? (A) (B) (C) (D) 。
42. 在 MS-Word 中,在某一行行尾出現下列何者符號,表示該行與其下一 行同屬一個段落? (A)「 」 (B)「 」 (C) 「 」 (D) 「 」。
43. 在 MS-Word 中,想要換行,但不想產生一個新的段落,應如何操作? (A)按[Enter]鍵 (B)按[Space]鍵 (C)按[F10]鍵 (D)按[Shift]+[Enter]鍵。
44. 在 MS-Word 中,按[Ctrl]+[V]或工具列的哪一個鈕,可將剪貼簿中的 文字貼到文件上? (A) (B) (C)(D) 。
45. 在 MS-Word 中,若要建立索引之前,須先建立哪一個項目做為索引項 目的依據? (A)標號 (B)書籤 (C)頁碼 (D)註解。
46. 關於 Web 演化之敘述,下列何者有誤? (A)Web 1.0 是指靜態網站( static web) (B)Web 2.0 強調多人協作 及群體智慧 (C)Web 3.0 指的是語意網路所架構網站(The semantic executing web) (D)Web 4.0 是一種以 4G 為基礎差異化動態網站 (differential web)。
47. 關於網路或資訊安全之敘述,下列何者有誤? (A)Microsoft Windows 的【網路上的芳鄰】使用 TCP/IP Port 25~99 (B) 防火牆最就是將網路劃分成不同的區域以隔離網路 (C) 巨集病毒是 儲存於範本文件裡 (D)網路釣魚(phishing)是一種誘騙電腦使用者透 過電子郵件訊息或網站提供個人或財務資訊的手段。
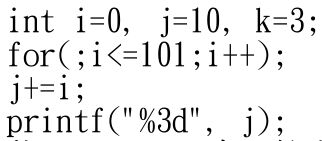
48.
執行上述 c 程式之輸出結果? (A)111 (B)112 (C)113 (D)114。
49. 網頁的程式語言是下列哪一種? (A)C++ (B)HTML (C)Flash (D)Quick basic。
50. 下列何者可連結至北市捷運入口首頁? (A)<a src=http://www.trtc.com.tw/>北市捷運</a> (B)<a href=http://www.trtc.com.tw/>北市捷運</a> (C)<a name= http://www.trtc.com.tw/>北市捷運</a> (D)<a link=http://www.trtc.com.tw/>北市捷運</a>。