所屬科目:捷運◆計算機概論(計算機概論及網路應用、計算機系統概論、計算機原理與網路概論)
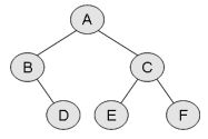
22. 有一二元樹(Binary Tree)如下所示,若以後序法(Postorder Traversal) 進行拜訪(亦即先拜訪左子樹,然後右子樹,最後是根節點),則以 下何者為各節點被拜訪之正確順序? (A) D→B→E→F→C→A (B) A→B→D→C→E→F (C) B→D→A→E→C→F (D) A→B→C→D→E→F